Эмпатия: эволюционные механизмы сопереживания
03 февраля 2026
Эмпатия: эволюционные механизмы сопереживания
- 313
- 0
- 0
Протянутые навстречу друг другу руки как символ эмпатии и стремления к поддержке.
-
Автор
-
Редакторы
Статья на конкурс «Био/Мол/Текст»: Эмпатия, способность чувствовать и разделять эмоции других, уходит корнями в глубокое эволюционное прошлое, будучи важным механизмом выживания социальных видов. Ее основы прослеживаются у животных — от крыс, освобождающих сородичей из заточения, до птиц и приматов, утешающих партнеров после конфликтов. Нейробиологические исследования раскрывают работу древних мозговых структур и гормонов, таких как окситоцин, которые формируют нейронную основу сопереживания и заботы. Этот мощный механизм не только укрепляет социальные связи, но и служит фундаментом для просоциального поведения, сдерживая агрессию и побуждая к помощи, что в конечном итоге определяет саму суть человечности.
Конкурс «Био/Мол/Текст»-2025/2026
Эта работа опубликована в номинации «Свободная тема» конкурса «Био/Мол/Текст»-2025/2026.
Генеральный партнер конкурса — международная инновационная биотехнологическая компания BIOCAD.
Партнер номинации — компания SkyGen: передовой дистрибьютор продукции для life science на российском рынке.
«Книжный» спонсор конкурса — «Альпина нон-фикшн»
Представьте лабораторную крысу, которая обнаруживает своего сородича, запертого в небольшом контейнере. Вместо равнодушия свободная крыса напряженно бегает вокруг, явно встревожена чужими писками, и после нескольких попыток открывает защелку, освобождая пленника. Этот реальный эксперимент показал, что многие крысы способны помогать друг другу, даже когда никакой прямой выгоды нет — ученые интерпретировали такое поведение как проявление эмпатии у грызунов [1]. Эмпатия обычно определяется как способность чувствовать и понимать эмоциональные состояния другого, и сопровождаемая мотивацией позаботиться о нем [2]. Ранее считалось, что эмпатия — исключительная черта человека, связанная с моралью и сознанием. Но современные исследования убеждают, что основы сопереживания имеют глубокие эволюционные корни и проявляются у многих социальных видов животных [2], [3].
Эволюционные корни сопереживания
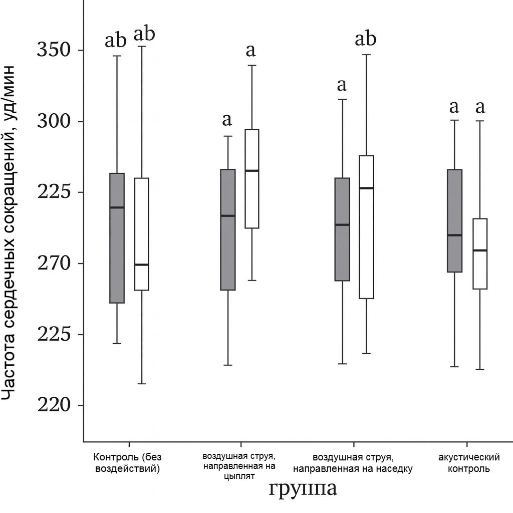
Рисунок 1. Физиологическая реакция наседок на стрессовые стимулы. Серые столбцы показывают состояние до воздействия, белые — во время воздействия. Буквы над столбцами отражают результаты статистического сравнения: одинаковые буквы означают отсутствие значимых различий между столбцами, разные буквы — наличие статистически значимых различий. Когда наседки слышали крики или испытывали стресс сами, частота сердечных сокращений изменялась сильнее, чем в контрольных условиях. Это демонстрирует, что самки чувствительно реагируют на стресс своих птенцов, что интерпретируется как элемент материнской эмпатии.
адаптировано из [4]
Рисунок 2. Распределение по времени первых дружественных контактов у воронов после конфликта. На панели а показаны случаи, когда дружественный контакт с жертвой конфликта инициировал посторонний наблюдатель; на панели б — случаи, когда такой контакт инициировала сама жертва, обращаясь к наблюдателю. По горизонтали отложено время от начала наблюдения, по вертикали — частота первых дружественных контактов, то есть сколько раз первый такой контакт возникал в соответствующую минуту постконфликтного или контрольного периода. Черные точки обозначают постконфликтный период, белые — парный контрольный период. В обоих случаях дружественные контакты после конфликта возникали раньше, чем в контроле, что указывает на их связь именно с последствиями недавней агрессии.
адаптировано из [5]
Эмпатия не возникла на пустом месте — ее корни уходят в поведенческие программы заботы о потомстве. Для родителей жизненно важно распознавать крики и сигналы бедствия своих детенышей и реагировать на них заботой. Те предки, которые лучше чувствовали нужды своего потомства, успешнее вырастили больше здоровых детенышей — этот эволюционный отбор и заложил основу механизма сопереживания [2]. Инстинкты, побуждающие маму спешить на плачущие голоса детенышей, сформировали нейронные пути чувствительности к чужому страданию. Эти пути чрезвычайно древние и во многом универсальны. Например, даже у птиц, где заботой о птенцах часто занимаются оба родителя, наблюдается подобная реакция: экспериментально показано, что у наседки учащается сердцебиение и повышается уровень стресса (рис. 1), когда ее цыплята пищат от испуга — то есть курица явно встревожена переживаниями своего потомства [4]. Нейробиологи выяснили, что мозговые центры, отвечающие за родительскую заботу (включая структуры гипоталамуса и лимбической системы), во многом сходны у разных млекопитающих и даже птиц [2]. Это говорит о том, что базовые механизмы эмпатии — чувствительность к сигналам боли и дискомфорта других — возникли очень давно и были сохранены в ходе эволюции как важная адаптация для выживания потомства.
Интересно, что сопереживание не осталось только «семейным» чувством. По мере того как у предков человека и других социальных животных формировались сложные группы, эволюция могла распространить механизм заботы о детенышах на иных членов сообщества [2]. Проще говоря, система, изначально предназначенная для «родитель — дитя», начала работать и в связке «сородич — сородич». Это объясняет, почему во многих социальных видах животные реагируют на беду не только собственных детенышей, но и друзей или партнеров. В мире птиц тому есть поразительные примеры: во́роны и их родственники способны демонстрировать поведение, напоминающее утешение. В эксперименте с во́ронами было показано (рис. 2), что когда одна птица проигрывает драку и проявляет признаки огорчения, ее партнер или близкий сородич часто подходит к «проигравшему» после конфликта, ласково контактирует — будто бы утешая его, снижая уровень стресса у жертвы конфликта [5]. Аналогичные утешающие объятия и поглаживания давно наблюдаются у высших приматов — шимпанзе, например, обнимают разочарованного соплеменника после стычки [3]. Даже слоны демонстрируют похожее поведение: полевые наблюдения за азиатскими слонами показали, что при виде расстроенного сородича другие слоны подходят к нему, прикасаются хоботом, издают успокаивающие звуки — словом, стараются явно утешить [6]. Такое «сочувствие в действии» прослеживается у видов, ведущих сложную социальную жизнь, и, вероятно, эволюционировало как способ поддержания прочных социальных связей внутри групп.
Эмпатия у животных: от эмоционального заражения к помощи
Хотя нам непривычно говорить об эмпатии применительно к мышам или птицам, биологические основы этого явления прослеживаются даже у них. Ученые выделяют несколько уровней эмпатии. Самый базовый — эмоциональное заражение: непроизвольное копирование переживаний другого. Этот феномен хорошо документирован у многих животных. Например, если мышь видит, как другая мышь получает болезненный удар током, у наблюдающей мыши тоже учащается сердцебиение, повышается уровень стрессовых гормонов, а позже может даже развиться страх перед этой ситуацией, словно она испытала шок лично [2]. Мыши испытывают более сильную боль от вредного стимула, когда рядом находится их соплеменник, тоже страдающий от боли — особенно если это знакомая им особь. В классическом эксперименте самкам мышей вводили раствор уксусной кислоты, вызывающий болезненные ощущения, но когда рядом с ними находилась их подруга, не испытывающая боли: близость другого служила своего рода «социальным обезболиванием» [2]. С другой стороны, если две мыши вместе получают неприятный стимул, они усиливают реакцию друг друга — каждая как бы ощущает боль сильнее, видя страдание соседки. Такое усиление болевой чувствительности было продемонстрировано у мышей и интерпретировано как простейшее проявление эмпатии — эмоционального резонанса с чужой болью [2]. Эти реакции особенно выражены между знакомыми или родственными животными: так, самки мышей замирали в страхе гораздо сильнее, видя травму у сестры, чем у незнакомой мыши, что имеет адаптивный смысл (в природе больше шансов помочь или научиться на примере близкого родственника).
Вместе с тем, эмпатия проявляется не только при пассивном копировании эмоций, но и активным поведением — стремлением помочь попавшему в беду. В природе дельфины поддерживают раненого сородича на поверхности, чтобы тот не утонул, а некоторые обезьяны ухаживают за травмированными членами группы. В лабораторных условиях особенно известен опыт, когда одна крыса была заперта в прозрачном контейнере, а другая могла ее выпустить. Многие «свободные» крысы быстро учились освобождать пленника, причем делали это даже в одиночку, без поощрения и повторяя действие многократно, как только замечали страдание сородича [1]. Для проверки альтернативных объяснений ученые усложнили задачу: предложили крысе выбор — либо открыть одну дверцу и выпустить приятеля, либо открыть другую и добраться до вкусных шоколадных кусочков. Вопреки циничным ожиданиям, грызуны в среднем не бросались сначала съесть все лакомство, а часто сперва освобождали сородича, а уже потом вместе с ним уплетали добычу (рис. 3), нередко делясь шоколадом поровну [1]. Другие исследования, использующие иные подходы, также подтверждают склонность крыс к просоциальному выбору. Например, в одном эксперименте крысе выдавали порцию корма, а затем предлагали нажать одну из двух рычагов: один приносил угощение только ей самой, другой — ей и соседу по клетке. Хотя для животного не было никакой разницы в затратах, многие крысы регулярно выбирали вариант, при котором лакомство получали оба [7]. Конечно, у животных нет морали в человеческом понимании, но внутренний «вознаграждающий» механизм эмпатии — переживание позитива от того, что другому стало легче — у них явно присутствует.
Рисунок 3. Просоциальное поведение крыс в опытах с освобождением сородича и выбором между сородичем и шоколадом. В панелях а и б показан эксперимент с разделенными клетками: крысы продолжали открывать дверцу, когда внутри находился запертый сородич, но постепенно переставали делать это, если контейнер был пустым. В панелях в и г приведен эксперимент с шоколадом. По вертикали здесь отложена латентность до открытия дверцы в процентах от длительности сеанса: чем ниже значение, тем раньше крыса открывала контейнер. В условии «сородич + шоколад» крысы открывали оба контейнера с сопоставимой скоростью, а в условии «шоколад + пустой контейнер» быстрее открывали контейнер с шоколадом. Пунктирная линия показывает момент, когда экспериментатор приоткрывал дверцу наполовину, если крыса не успевала сделать это сама.
адаптировано из [1]
Важно отметить, что эмпатия у животных не лишена избирательности. Эволюция «настроила» ее работать сильнее в отношении тех, кто ближе и важнее для выживания индивида — будь то родство, дружба или статус в группе [2]. Эксперименты подтверждают это: к примеру, не каждая крыса из предыдущего опыта становилась альтруистом — чаще дверь открывали самки, известные более выраженным родительским инстинктом [1]. Более того, дальнейшие исследования показали, что крыса гораздо охотнее выручит из беды знакомую ей особь, чем незнакомца. Однако стоит поселить ее заранее вместе с представителем «чужой» линии (например, другого окраса), как при встрече с незнакомцем того же окраса она уже проявит участие и поможет ему, тогда как крыса без такого опыта — нет [8]. Иными словами, социальный опыт способен расширить границы сопереживания: узнавая «чужаков» ближе, животное начинает воспринимать их как своих. У людей сходный принцип проявляется в том, что нам легче сопереживать тем, кого мы считаем похожими на себя, и труднее — представителям далекой группы. Эмпатия эволюционно предвзята в пользу «своих», но не жестко задана — она может усиливаться воспитанием, культурой и позитивным опытом общения с представителями иных групп.
Нейробиология эмпатии: мозг и гормоны
С развитием нейронаук ученые получили возможность заглянуть в мозг сочувствующего существа — и нашли там как древние центры, сохранившиеся со времен ранних стадий эволюции, так и более новые отделы, сформировавшиеся в ходе эволюции человека (рис. 4). Самые ранние и примитивные уровни эмпатии связаны с работой подкорковых структур. Миндалевидное тело (амигдала), гипоталамус, области ствола мозга и прилежащее ядро — эти отделы активируются, когда организм сталкивается с криками боли или видом страдания другого [2]. Они же управляют базовыми эмоциональными реакциями — страхом, стрессом, а также запуском мотивации заботиться. У млекопитающих в процесс включаются и эволюционно древние нейрогормоны. Ключевую роль играет окситоцин — гормон, известный своей функцией укрепления социальных связей. Изначально окситоцин эволюционировал у древних предков для сугубо физиологических задач (стимуляция родов и лактации у самок), но затем природа «приспособила» его под новые цели: формирование привязанности и доверия [2]. У самок млекопитающих всплеск окситоцина при родах и кормлении тесно связан с возникновением чувства материнской любви к детенышам. Позднее тот же механизм начал поддерживать связь между взрослыми особями: например, без окситоцина невозможны прочные моногамные пары у многих грызунов и птиц [2]. Блокада окситоциновых рецепторов в мозге луговой полевки существенно нарушает формирование парной привязанности [2]. А у воробьиных птиц блокада окситоциноподобных пептидов (мезотоцина) нарушает формирование парной привязанности у зебровых амадин [2]. Таким образом, окситоцин стал универсальным биохимическим «языком доверия» в социальном поведении.
Рисунок 4. Нейронные основы эмпатии у человека. В процесс вовлечена распределенная сеть мозга — поясная кора, островковая кора, амигдала, гипоталамус, стриатум и префронтальная кора. Эти области связаны с регуляцией эмоций, мотивацией заботы и социальным поведением. Их работа интегрируется с вегетативной и эндокринной системами (например, через надпочечники), что делает эмпатию комплексным состоянием, объединяющим тело и психику.
адаптировано из [2]
В экспериментальной психологии накоплено немало данных о влиянии окситоцина на человеческую эмпатию. Введение небольших доз окситоцина (например, интраназальный спрей) заметно меняет социальное восприятие: люди точнее распознают эмоции по выражению лица и лучше «читают мысли» по взгляду собеседника [12]. Также показано, что окситоцин повышает доверчивость — так, участники экономической игры, получившие дозу этого гормона, значительно охотнее доверяли свои деньги партнеру, рискуя быть обманутыми [13]. Другой опыт продемонстрировал, что под воздействием окситоцина люди становятся более щедрыми: уровень бескорыстно подаренных денег незнакомцу заметно возрастал по сравнению с плацебо [14]. Эти результаты привлекли внимание к окситоцину как возможному «гормону доверия и сочувствия». Впрочем, его действие зависит от контекста: более поздние работы уточнили, что окситоцин усиливает теплое отношение прежде всего к «своим» и может даже усиливать предвзятость к чужим. Видимо, эволюционная роль этого нейропептида — сплачивать группу, а не делать всех подряд альтруистами.
Нейрохимия эмпатии имеет и генетическую основу. Выяснилось, что у некоторых людей определенные варианты гена рецептора окситоцина (OXTR) коррелируют с повышенной эмпатичностью и склонностью к просоциальному поведению. В частности, носители одной из версий гена OXTR по результатам психологических тестов проявляют более сильную эмпатическую заботу о ближних и одновременно менее подвержены стрессу в социально неприятных ситуациях [15]. Другое исследование обнаружило связь между генами рецепторов окситоцина и вазопрессина и способностью людей сопереживать: эти гормоны участвуют в разных аспектах — окситоцин связан больше с эмоциональной отзывчивостью, а вазопрессин — с социальным познанием и пониманием взглядов другого [16]. Гены, разумеется, не определяют наш уровень эмпатии напрямую, но создают предпосылки, которые влияют на ее развитие с детства.
Наряду с гормонами и генами, изучены и целые нейронные сети, работающие при сопереживании. Используя функциональную МРТ, исследователи выявили «петли эмпатии» в мозге человека. Например, если доброволец видит, что другого человека ударили током, активируются почти те же зоны, что и при собственном болевом ощущении: передняя поясная кора, островковая кора, периакведуктальная серая зона и другие области, связанные с реакцией на боль [2], [3]. Эта общая нейронная «карта боли» объясняет, почему нам неприятно смотреть на чужие страдания — мозг буквально частично «разделяет» их. При этом более сложные формы эмпатии — умение встать на чужую точку зрения, сознательно понять переживания другого — подключают работу лобных долей мозга, особенно орбитофронтальной коры и медиальных областей префронтальной коры [2]. Эти отделы отвечают за контроль эмоций, моральные суждения, регулирование импульсов. Они развиваются медленно и полностью созревают только к концу подросткового возраста. Не случайно маленький ребенок может расплакаться, услышав плач другого (эмоциональное заражение), но еще не умеет предложить тому утешение. Лишь к 2–3 годам дети начинают целенаправленно помогать и успокаивать тех, кто расстроен [17]. Психологи фиксируют первые проявления сочувствия уже у годовалых малышей: например, увидев, что взрослый ударился и «плачет», ребенок может поднести ему свою любимую игрушку, пытаясь помочь. К началу школьного возраста когнитивная эмпатия быстро прогрессирует — дети учатся понимать переживания, отличные от собственных, и предлагать соответствующую поддержку. Таким образом, сложная, сознательная эмпатия опирается на более раннюю эмоциональную реакцию, но требует развития определенных зон мозга и социального обучения.
Эмпатия как двигатель просоциальности
Эмпатия играет огромную роль в нашей социальной жизни. Сопереживание ближнему побуждает к просоциальному поведению — заботе, помощи, щедрости, утешению. Биологи рассматривают эмпатию как один из эволюционных механизмов альтруизма у животных и человека [3]. Когда мы видим страдания друга и чувствуем отголосок этой боли, у нас возникает внутренний порыв помочь и облегчить чужое страдание — именно он лежит в основе многих актов доброты. Эмпатия способна сдерживать агрессию (трудно сознательно навредить тому, чью боль ты ощущаешь) и облегчает сотрудничество внутри группы [2]. Например, в сообществах приматов наиболее эмпатичные особи часто занимают статус «миротворцев», разнимая дерущихся и утешая проигравших, что снижает общий уровень конфликтов в группе [3]. В человеческих обществах эмпатия служит эмоциональным «клеем», скрепляющим дружбу, семью, да и все социальные институты — от школы до больницы. Неудивительно, что недостаток эмпатии обычно ведет к асоциальному поведению.
Крайний случай дефицита сопереживания — психопатия, расстройство личности, при котором у человека заметно нарушены эмоциональный отклик на чужую боль и эмпатическая чувствительность. Исследования с помощью фМРТ показывают (рис. 5), что при восприятии сцен чужого страдания у людей с выраженными психопатическими чертами меняется работа целой сети областей мозга, связанных с аффективной и социальной обработкой таких сигналов. В одних структурах активность оказывается ниже — например, в вентромедиальной префронтальной и латеральной орбитофронтальной коре, — тогда как в других, в частности в передней островковой коре, ответ усиливается [18]. Психопатия, таким образом, связана с измененным паттерном нейронного отклика, при котором восприятие страдания другого, по-видимому, в меньшей степени вовлекает механизмы, обычно поддерживающие эмпатическую чувствительность и просоциальное поведение [18]. И, пожалуй, именно в этом особенно хорошо видна ценность таких исследований: они позволяют рассмотреть эмпатию не как абстрактную «доброту», а как сложный биологический механизм, от работы которого во многом зависят человеческие отношения, моральные ограничения и сама возможность устойчивой жизни в обществе.
Рисунок 5. Активность правой передней островковой коры при восприятии чужой боли у людей с разным уровнем психопатических черт. Внизу слева показана область мозга, для которой проводился анализ. Сверху слева приведены средние значения сигнала фМРТ для трех групп: L — низкий уровень психопатии, M — промежуточный, H — высокий. По вертикали отложен BOLD-сигнал (то есть уровень фМРТ-сигнала, связанный с локальными изменениями кровотока и насыщения крови кислородом и потому используемый как косвенный показатель активности мозга). Отдельно показаны ответы на сцены взаимодействия, где один человек причиняет боль другому, и на выражения эмоций/боли на лице. Справа приведены диаграммы рассеяния для Фактора 1 и Фактора 2 шкалы психопатии: они показывают, как меняется сила сигнала по мере нарастания разных компонентов психопатических черт. В этой области мозга сигнал возрастал с увеличением выраженности психопатии, поэтому рисунок иллюстрирует не общее «ослабление эмпатии», а более сложное изменение нейронного ответа на чужую боль.
адаптировано из [18]
Что по итогу?
Сегодня эмпатия стала объектом пристального внимания самых разных наук — от нейробиологии и генетики до психологии развития и этологии. Ученые продолжают раскрывать ее тайны: как именно мозг преобразует проявления страдания одного индивида в сочувствие и помощь другого; почему одни люди более эмпатичны, чем другие; как воспитать в детях чуткость; можно ли с помощью лекарств или тренировок усилить эмпатию у тех, кому ее не хватает (например, при аутизме или психопатии). Ответы на эти вопросы имеют большое значение. Эмпатия — это не просто милое свойство характера, а мощный эволюционный механизм, обеспечивший выживание социальным группам. Понимая ее биологические корни, мы лучше понимаем себя как вид. Возможно, в будущем, опираясь на научные знания, человечество сумеет целенаправленно развивать эмпатию — этот древнейший дар природы, делающий нас способными на подлинную человечность.
Литература
- Inbal Ben-Ami Bartal, Jean Decety, Peggy Mason. (2011). Empathy and Pro-Social Behavior in Rats. Science. 334, 1427–1430;
- Jean Decety, Inbal Ben-Ami Bartal, Florina Uzefovsky, Ariel Knafo-Noam. (2016). Empathy as a driver of prosocial behaviour: highly conserved neurobehavioural mechanisms across species. Phil. Trans. R. Soc. B. 371, 20150077;
- Frans B. M. de Waal, Stephanie D. Preston. (2017). Mammalian empathy: behavioural manifestations and neural basis. Nat Rev Neurosci. 18, 498–509;
- J. L. Edgar, J. C. Lowe, E. S. Paul, C. J. Nicol. (2011). Avian maternal response to chick distress. Proc. R. Soc. B. 278, 3129–3134;
- Orlaith N. Fraser, Thomas Bugnyar. (2010). Do Ravens Show Consolation? Responses to Distressed Others. PLoS ONE. 5, e10605;
- Joshua M. Plotnik, Frans B.M. de Waal. (2014). Asian elephants ( Elephas maximus ) reassure others in distress. PeerJ. 2, e278;
- Julen Hernandez-Lallement, Marijn van Wingerden, Christine Marx, Milan Srejic, Tobias Kalenscher. (2015). Rats prefer mutual rewards in a prosocial choice task. Front. Neurosci. 8;
- Inbal Ben-Ami Bartal, David A Rodgers, Maria Sol Bernardez Sarria, Jean Decety, Peggy Mason. (2014). Pro-social behavior in rats is modulated by social experience. eLife. 3;
- Откуда берется расизм и как наш мозг с ним справляется;
- Роль миндалевидного тела в социальном поведении;
- Сама неоднозначность: гормон окситоцин;
- Gregor Domes, Markus Heinrichs, Andre Michel, Christoph Berger, Sabine C. Herpertz. (2007). Oxytocin Improves “Mind-Reading” in Humans. Biological Psychiatry. 61, 731–733;
- Michael Kosfeld, Markus Heinrichs, Paul J. Zak, Urs Fischbacher, Ernst Fehr. (2005). Oxytocin increases trust in humans. Nature. 435, 673–676;
- Paul J. Zak, Angela A. Stanton, Sheila Ahmadi. (2007). Oxytocin Increases Generosity in Humans. PLoS ONE. 2, e1128;
- Sarina M. Rodrigues, Laura R. Saslow, Natalia Garcia, Oliver P. John, Dacher Keltner. (2009). Oxytocin receptor genetic variation relates to empathy and stress reactivity in humans. Proc. Natl. Acad. Sci. U.S.A. 106, 21437–21441;
- Andreas Meyer-Lindenberg, Gregor Domes, Peter Kirsch, Markus Heinrichs. (2011). Oxytocin and vasopressin in the human brain: social neuropeptides for translational medicine. Nat Rev Neurosci. 12, 524–538;
- Markus Paulus. (2014). The Emergence of Prosocial Behavior: Why Do Infants and Toddlers Help, Comfort, and Share?. Child Dev Perspectives. 8, 77–81;
- Jean Decety, Laurie R. Skelly, Kent A. Kiehl. (2013). Brain Response to Empathy-Eliciting Scenarios Involving Pain in Incarcerated Individuals With Psychopathy. JAMA Psychiatry. 70, 638.
Комментарии
Раньше здесь был блок с комментариями. Но потом сервис Disqus, на котором они работали и за который мы платили, перестал открываться из РФ.
Когда появится возможность, мы вернём комментарии уже на внутреннем движке, а чтобы это произошло быстрее —
Оставьте донат 💚