Биодеградация, биотехнология, биохимия… пределы не видны
11 февраля 2026
Биодеградация, биотехнология, биохимия… пределы не видны
- 196
- 0
- 2
Наука расширяется, подобно Вселенной. И соприкосновения с другими научными дисциплинами тоже расширяются, порой приобретая самые неожиданные формы. На фото — живое олицетворение Вселенной, гусеница тропической ночной бабочки Eudocima phalonia, окрашенная в цвета Космоса.
-
Автор
-
Редакторы
Статья на конкурс «Био/Мол/Текст»: Любая научная дисциплина в своем развитии расширяется, подобно миниатюрной Вселенной. Точно так же и биохимия, по мере развития, становится шире и соприкасается со все возрастающим количеством смежных дисциплин, которые, на первый взгляд, вообще с ней не связаны. Казалось бы, какое отношение к биологии имеют производство силиконов, фенолформальдегидных смол или полупроводниковых материалов, свойства взрывчатых веществ, добыча самых дорогих металлов в мире, или гуманитарные дисциплины, познающие внутренний мир и поведение людей и мало соприкасающиеся с естественными науками, например, психология? Оказывается, имеют. Ибо познаваемый наукой мир един, а границы между дисциплинами проведены нами ради удобства.
Конкурс «Био/Мол/Текст»-2025/2026
Эта работа опубликована в номинации «Свободная тема» конкурса «Био/Мол/Текст»-2025/2026.
Генеральный партнер конкурса — международная инновационная биотехнологическая компания BIOCAD.
Партнер номинации — компания SkyGen: передовой дистрибьютор продукции для life science на российском рынке.
«Книжный» спонсор конкурса — «Альпина нон-фикшн»
В прошлом году на «Биомолекуле» вышла моя юбилейная, десятая статья. И в этом сезоне она тоже юбилейная. И тоже десятая. Как такое возможно? Просто нынешняя статья — десятая в серии, посвященной удивительным загадкам метаболизма. В первую очередь, связанным с биодеградацией искусственно созданных веществ. Самая ранняя статья, изданная в ставшем далеким 2015 году [1], была написана еще до возникновения моего интереса к биодеградации, долго «лежала в столе» и посвящена классической биохимии и молекулярной биологии. И стала хорошим началом. Как известно, изучение любого предмета начинается с освоения правил. А профессионализм подразумевает знание исключений из правил и нестандартность подходов. Вот и развитие биохимии во всех ее порой причудливых проявлениях, началось с изучения фундаментальных положений, объединяющих все живые организмы, от бактерий и вирусов до людей. Так мои личные научные интересы вкратце повторили историю биохимии. И я буду очень рад, если читатели, в особенности, молодые, знакомясь с публикациями в «Биомолекуле», тоже пройдут этот путь.
Биодеградация в творчестве
Психологам и социологам известен такой феномен. Люди любят говорить на темы, которые их волнуют. А если явление играет в жизни людей большую роль, то простым общением дело не ограничивается. Мы придумываем всевозможные остроты, шутки, иносказания, а в наиболее важных случаях даже сочиняем легенды. Со временем, важное для нас явление входит в нашу культуру, в наш архетип. Другими словами, шутки — это очень серьезно.
Кстати, возможно это служит причиной, почему научное знание стоит особняком, в значительной изоляции от жизни общества. Просто ученые часто интересуются явлениями, не вызывающими значительный интерес у широкой общественности. Поэтому, по мнению стороннего наблюдателя, наука производит впечатление сухой и излишне серьезной. Без шуток.
В связи с вышесказанным, мне стало интересно. В «Биомолекуле» я очень много рассказывал про биодеградацию, рассматривая это явление с разных сторон [2–10]. Неоднократно подчеркивал ее роль в жизни Земного шара и человечества. Но если роль велика, значит, биодеградация должна прийти в массовую культуру. И такие примеры нашел. Хотя их немного, они очень яркие.
Вот пример, в котором правда теснейшим образом смешана с вымыслом. Речь идет о бактерии, которую СМИ назвали «самой опасной в мире». Как мы сейчас убедимся, опасности она не представляет. Но если мы назовем ее «самой интересной в мире», то не сильно ошибемся. Речь пойдет о Синтии.
Мы знаем, что все современные живые организмы произошли от общего предка, которого назвали LUCA (last universal common ancestor). Это была популяция бактерий, жившая около 4 миллиардов лет назад. Биология Луки уже неплохо восстановлена и описана. Так вот, в последние десятилетия возникла поразительная область науки — синтетическая биология. Ученые химическим путем синтезируют фрагменты ДНК, и вводят их в клетки бактерий. Уже живут и работают на ниве биотехнологии штаммы кишечной палочки с искусственными фрагментами генома. Особо подчеркну. Эти фрагменты — единственные гены на Земле, которые не произошли «от Луки». Разумеется, ученые пошли еще дальше и создали живой организм, геном которого полностью искусственный. Поскольку синтез ДНК, несущей информацию, дело сложное и дорогое, выбрали очень простой организм с крошечным размером генома. Наиболее подходящим кандидатом оказалась микобактерия Mycoplasma genitalium, геном которой содержит всего 482 гена. Известны организмы с более простыми геномами, но их единицы. Разумеется, такая бактерия не может существовать самостоятельно. Это возбудитель венерических болезней у людей и других приматов, вторично упростившийся в результате эволюционного приспособления к внутриклеточному паразитизму.
В 2003 году движимые любопытством ученые — нобелевский лауреат Гамильтон Смит и его команда из двадцати человек синтезировали геном бактериофага Phi X 174. А спустя четыре года этот же коллектив создал геном микоплазмы полностью с нуля, хотя он превосходит геном бактериофага в 50 раз. Причем, он получился еще меньше, чем у родительской микоплазмы, и включил всего 382 гена. Исходную ДНК из клеток микоплазмы изымали, полностью заменяя ее синтетической. Но при этом, весь клеточный аппарат сохраняли. Новую бактерию назвали «Синтия» (Synthia) (Mycoplasma laboratorium). Позже ученые повторили эксперимент с другим видом микоплазмы, M. mycoides вызывающим воспаление легких у домашних коров и коз. Размер генома у нее чуть больше. То есть, Синтий создано несколько [11]Конечно, частично родство с Лукой сохраняется и у этих форм жизни. Ведь от предков нам передается не только ДНК, но и, к примеру, клеточные мембраны, которые, по современным представлениям, тоже возникли один раз на заре жизни.
Очевидно, что бактерия с таким крошечным геномом не способна к самостоятельному существованию. Тем более для нее исключена возможность питаться углеводородами нефти. Микоплазмы в природе живут только в клетках других организмов. У них нет даже клеточной стенки для защиты от внешних воздействий.
Тем не менее, в средствах массовой информации гуляет из статьи в статью фейковая новость о том, что Синтию применили для ликвидации разлива нефти в Мексиканском заливе в апреле 2010 года. Более того, утверждается, что эта бактерия специально разработана для очистки нефтяных загрязнений. Хотя никто не станет создавать микроорганизм-деструктор на основе сверхспециализированного паразита. Якобы бактерия из лаборатории убила всю морскую живность, заражает купальщиков, вызывая у них страшную болезнь «синяя чума», оккупирует Северный Ледовитый океан, провоцирует «дожди» из мертвых птиц в США и, конечно, обменялась генами с какими-то вирусами в Ухани, став причиной пандемии ковида. Одним словом, если завтра нас посетят инопланетяне, случится Зомби-апокалипсис или Восстание машин, не удивляйтесь, дорогие читатели. Во всем этом, без всяких сомнений, тоже будет задействована Синтия. Так малоприятный, но малоприметный возбудитель венерического микоплазмоза благодаря «фейк ньюс» превратился в причину глобальной мировой катастрофы.
Конечно, о мракобесии не хочется распространяться подолгу. К биодеградации искусственная форма жизни отношения не имеет. С таким бедным набором генов она может питаться только готовыми ростовыми факторами в культуральной среде очень сложного состава. Но значимость создания M. laboratorium это нисколько не умаляет. Это, действительно, крупный научный прорыв, значение которого в полной мере еще не оценено.
Радует, что пример с Синтией не единственный. Биодеградация оставила в массовом сознании и другие следы, более адекватные. В 1970–71 гг в Великобритании вышел научно-фантастический роман, написанный микробиологом Китом Педлером и сценаристом Джерри Дэвисом Mutant-59: The plastic eater. В нем ученый работал над выведением бактерии, разлагающей пластик, для уничтожения пластикового мусора. После его скоропостижной кончины от инфаркта штаммы оказались в окружающей среде
Особенно успешным оказался штамм номер 59, являющийся исключительно эффективным разрушителем пластика. Бесконтрольное размножение микроба привело к целой серии катастроф. Угроза многократно возрастала за счет того, что биодеградация пластика сопровождалась образованием горючего газа, накопление которого приводило к взрывам. В результате взрывались в воздухе пассажирские самолеты и тонули подводные лодки, разрушение изоляции на проводах привело к обесточиванию городов миллионников, в больницах умирали тяжело больные пациенты, и т. д. В конечном итоге, пришлось поднимать войска, вводить на планете строжайшее военное положение и карантин. Это при том, что в романе описана цивилизация 1970-х годов, в которой предметов, изготовленных из пластмасс, было намного меньше, чем в 2020-х. В наши дни катастрофа стала бы еще разрушительней. В сокращенном виде роман вышел на русском языке в журнале «Наука и жизнь» [12], [13].
«Мутант-59» вызывает у читателей неоднозначное мнение. Некоторые считают, что художественная ценность романа сомнительная. Персонажи прописаны на скорую руку и не имеют яркой индивидуальности. Для художественного произведения это большой минус. Многие отмечают переусложненный сюжет и чрезмерное, скучное описание научных экспериментов. Этим недостатком страдают многие ученые, пробующие себя в роли писателя фантаста. В особенности, когда делают это впервые.
Лично я увидел и чисто научные «ляпы». Например, скорость размножения бактерий и разрушения ими пластмассовых изделий явно выходит за рамки реально возможных. Чтобы бактерии росли с такой быстротой, требуются условия, как в термостате для культивирования микроорганизмов. Постоянная стопроцентная влажность и температура тридцать — тридцать пять градусов в тени. В природе современной Земли такие условия найти непросто — разве что в Амазонии и некоторых других областях вблизи экватора. Если бы описанное в романе событие случилось бы на самом деле, оно бы заняло значительно более длительное время. И прошло бы практически незамеченным, без катастроф. Единственные, кто бы обратил внимание на ускоренное разложение пластиковых изделий, стали бы ученые и технологи, которые бы заново открыли хороший биодеструктор и применили бы его по назначению — очистили бы планету от мусора.
Более того, под собирательным определением «пластик» мы подразумеваем большое разнообразие веществ. Разумеется, бактерии не способны к переработке любого из них. Если мутант из романа быстро разрушал, скажем, полистирол, то он вполне мог не справиться с поливинилхлоридом. В результате, катастрофа прошла бы намного мягче.
Однако, при всех слабых сторонах романа, авторам удалось самое главное. Произведение требует от ученых ответственности, предостерегает от легкомысленного отношения к научным разработкам, а самое главное, является пророческим. Первые реальные успехи в биологическом обезвреживании полимеров были достигнуты только спустя 40 лет после выхода в свет «Мутанта».
Фантастика фантастикой, а идея применения биодеградации для нанесения вреда противнику в условиях войн витает в воздухе. В книге Юрия Федоровича Каторина и соавторов «Уникальная и парадоксальная военная техника»», изданной в 2003 году [14], хорошо описаны образцы так называемого «несмертельного» оружия, которое выводит из строя технику. Среди них — распыление над техникой противника с дронов спор микроорганизмов, питающихся смазочным маслом. В результате трущиеся детали лишаются необходимой смазки, и техника теряет ход. Конечно, в условиях реальной войны такое «несмертельное» оружие станет весьма смертельным, но идея интересная. Такое оружие можно применять и иначе — портить запасы нефтепродуктов, топлива в хранилищах. Военные умы пошли еще дальше и предлагают применять уникальные бактерии, способные, например, метаболизировать перхлорат аммония — очень сильный окислитель, компонент твердых ракетных топлив. Или повреждать электронику противника, вызывая биокоррозию полупроводникового материала арсенида галлия, окисляя мышьяк в его составе до арсената. И ведь, судя по всему, в этой сфере наука еще в самом начале пути. К сожалению, в будущем разнообразие примеров «военной биодеградации» будет только возрастать. И, увы, они вряд ли останутся только на страницах книг и статей.
Соревнование брони и снаряда
В одной из своих статей [3] я уже рассказывал про грибы, которые питаются фенолформальдегидными смолами. Этот вид полимеров, бесспорно, является одним из важнейших. Первый коммерческий продукт конденсации фенола и формальдегида был запатентован еще в 1909 году бельгийским химиком Лео Бакеландом, и в честь изобретателя получил название «бакелит». С тех пор триумфальное шествие фенолформальдегидных смол по миру продолжается. Из них изготовляли (и продолжают изготовлять сейчас) корпуса приборов и аппаратов, электрические изоляторы и даже сувениры. Однако, более всего они используются для создания композиционных материалов с древесиной, так называемых древесно-стружечных пластиков (ДСП), являющихся дешевой заменой цельной древесине.
Метод получения фенолформальдегидных смол мало изменился со времен Бакеланда. Фенол и формальдегид (в виде водных растворов) в присутствии сильной кислоты (обычно, соляной) вступают в реакцию конденсации с выделением воды. Реакция экзотермическая и смесь может доходить до температуры кипения. При этом, по мере роста молекулярной массы полимера, его вязкость растет, а растворимость падает. В конечном итоге образуется нерастворимый и твердый сшитый полимер, отдаленно похожий на янтарь. Это вещество довольно прочное, не проводит электрический ток, устойчиво к факторам внешней среды, в отличие от исходных мономеров, нетоксично, а добавлением красителей ему можно придавать разнообразный внешний вид.
Если взять идеальную пропорцию исходных реагентов, то, теоретически, они должны полностью прореагировать. Тогда полученный полимер не станет издавать неприятный запах и будет полностью лишен токсичности. На практике такое идеальное равновесие недостижимо. Поэтому, новые изделия из фенолформальдегидных смол, например, мебель из ДСП, всегда пахнут формальдегидом и вредят самочувствию человека. Надо помнить о том, что исходные мономеры — формальдегид и фенол, очень ядовиты. Поэтому, при всем наборе полезных свойств, в последние годы фенолформальдегидные пластмассы все-таки уступают другим материалам, менее опасным.
Но в реакцию вступают не только формальдегид и фенол. Любые альдегиды и фенолы, разного строения, чрезвычайно склонны к реакциям конденсации с образованием смол.
Итак, фенолформальдегидные смолы известны уже более века и находят широкое применение в промышленности и в быту. Но являются ли они изобретением человека? Мы уже знаем о том, что живая природа многое изобрела раньше своего наделенного разумом творенья.
Среди разнообразного грибного царства встречается гриб розовик (Mycena rosea), являющийся дальним родственником бледной поганки и мухоморов. Надо сказать, что латинские названия видов не всегда точно отображают их признаки. Но в данном случае, слово «розовый» присутствует в названии гриба практически во всех языках. Розовая окраска плодовых тел действительно является отличительным признаком розовика. Он содержит окрашенные алкалоиды миценарубины, уникальные для рода мицена. Впрочем, они являются всего лишь частью богатого химического арсенала, которым располагает розовик. При повреждении он интенсивно выделяет формальдегид, который придает грибу неприятный запах, отпугивает поедателей и паразитов. Кстати, в биосинтезе пигментов гриба формальдегид тоже принимает непосредственное участие.
На первый взгляд, такое вооружение делает плодовые тела розовика неприступной крепостью. Вот только природа не терпит пустоты. И в процессе эволюции сумел — таки появиться гриб-микопаразит, который развивается почти исключительно на плодовых телах грибов рода мицена. Но как ему это удается?
Этот гриб называется спинелл щетинистый (Spinellus fusiger), и он является близким родственником плесени мукор. Когда спинелл разрастается на плодовом теле мицены или мухомора, оно покрывается густым ворсом из спорангиев этого паразита и приобретает весьма необычный вид. Исследования показали, что, проникая в ткани розовика, спинелл интенсивно выделяет галловую кислоту (очень близкий по строению фенол, пирогаллол, я упоминал в другой своей статье [5]). Будучи типичным представителем фенолов, она легко вступает в реакцию конденсации с формальдегидом и, тем самым, обезвреживает его, лишая жертву защиты. Продуктом реакции является смола, по строению и свойствам очень сходная с фенолформальдегидными пластмассами. Значит, и этот класс веществ появился в природе еще до человека! Кстати, алкалоиды гриба тоже вступают в реакцию с аддуктами галловой кислоты и формальдегида, и тоже связываются [15].
Рисунок 2. Если повстречаете в лесу розовые грибочки, не спешите класть их в корзину. Возможно, они содержат формальдегид. а — Плодовые тела розовика. Характерная окраска — типичный признак этого вида. Между прочим, формальдегид принимает важное участие в биосинтезе розового пигмента гриба — миценарубина С. б — Паразитический гриб спинелл преодолел химическую защиту розовика и покрыл его плодовые тела плотным ворсом. в — Старинный телефонный аппарат, корпус которого изготовлен из бакелита — разновидности фенолформальдегидной смолы. г — Формальдегид, структурная формула. Это вещество способно выдубить кожу, но не может остановить наступление паразитического грибка. Кстати, в грибах рода Mycena формальдегид синтезируется из метильных групп метионина.
VK, Mycoweb, «Википедия», рисунок автора
Орлиная погибель
Некоторые далекие от науки люди думают, что ученые это в массе своей неудачливые «очкарики», убежавшие от действительности и влачащие унылое существование в лаборатории или за письменным столом. Живучести сей «легенды» во многом способствуют низкие оклады многих современных ученых. Правда же состоит в том, что научная работа имеет большое сходство с работой сыщика. Только сыщик занят поиском преступника, а ученый ищет причины явлений. И в жизни ученого, как и в жизни детектива, случается немало приключений, противостояний, озарений, иногда путешествий в самые дальние уголки планеты, а порой и угроз жизни и здоровью. Правда, на взгляд стороннего наблюдателя эти события не всегда хорошо видны.
Это история про то, что причиной выдающегося научного открытия может стать цепочка драматических событий. Зимой 1994–1995 года в американском штате Арканзас, на реке Кэддо, случилась массовая гибель водоплавающих птиц — лысух и уток. Птицы внезапно начинали вести себя странно. У них нарушалась координация движений, пернатые в полете ударялись о препятствия. Потом они погибали. Гистологический анализ показал тяжелое поражение нервной ткани — вакуолярную миелопатию. Особенно страдали ткани мозжечка. Но наибольший резонанс получила гибель другой птицы, чья жизнь тесно связана с водоемами — белоголового орлана, одного из крупнейших пернатых хищников Америки. Между прочим, именно белоголовый орлан изображен на гербе США, эта птица — символ страны.
Рисунок 3а. Этот хищник наводит ужас на лососей и водоплавающую дичь. Но неприметные бактерии стали причиной его массовой гибели. а — Белоголовый орлан (Haliaeetus leucocephalus) — крупная и величественная птица, символ Соединенных Штатов, вершина пищевой пирамиды. Очень близкий родственник обитающего в Европейской части России орлана белохвоста (H. albicilla) и дальневосточного белоплечего орлана (H. pelagicus). Но этот грозный хищник оказался бессильным перед крошечной цианобактерией. б — Гидрилла мутовчатая или водный венчик (Hydrilla verticillata) — не водоросль, а цветковое растение из семейства водокрасовых, вторично освоившее водную среду. И, будучи выходцем из Восточного полушария, ставшее опасным инвазивным видом в водоемах Америки. в — Цианобактерии «убийцы орлов» (A. hydrillicola), флуоресцирующие в лучах ультрафиолета. Колонии этих микроорганизмов встречаются исключительно на листьях гидриллы. г — Структурная формула этоктонотоксина («токсина, убивающего орлов»). Структура этого природного соединения весьма необычна, и больше напоминает формулы созданных человеком пестицидов.
Конечно, этот предвестник большой экологической катастрофы всколыхнул не только научный мир, но и все общество. И послужил началом длительной работы, ставшей настоящим детективным расследованием продолжительностью в 27 лет. За это время было выдвинуто и опровергнуто немало гипотез. Предполагалось, что миелопатия вызвана отравлением пестицидами, инфекционными агентами.
Результат же данного исследования оказался поразительным. Выяснилось, что миелопатия у птиц (позже выяснилось, что таинственная болезнь поражает широкий круг животных, от млекопитающих до нематод) развивается только на тех водоемах, в которых растет интродуцированное в Америку водное растение гидрилла мутовчатая. Но болезнь вызывает не она, а обитающая на ее листьях цианобактерия-симбионт, которую назвали (Aetokthonos hydrillicola). Зловещее видовое название означает «убийца орлов, живущая на гидрилле».
Но все пазлы сошлись только тогда, когда выяснилось, что токсичность цианобактерия приобретает только при поступлении в водоем ионов брома. Как и другие галогены, он накапливается в соленой воде, но в пресной содержится только в следовой концентрации, в которой не может оказывать влияние на живые организмы. Оказалось, что заросшие злостным сорняком гидриллой водоемы регулярно обрабатывали гербицидами, в том числе дибромидом диквата. В результате, растение становилось еще опаснее. Наконец, только в 2021 году удалось установить природу токсина. Это производное индола, содержащее пять атомов брома (вот почему цианобактерии вырабатывают его только в присутствии бромидов!) и цианогруппу. Токсин назвали этоктонотоксином [16].
Согласитесь, история трагическая и захватывающая. Это еще и пример того, что открытия совершаются и в наше время, а не только «великими умами в прошлом».
Меня как биохимика в этоктонотоксине заинтересовало следующее. При взгляде на структуру, становится очевидно, что его предшественником является триптофан. Галогенированных производных триптофана в природе немало, достаточно вспомнить знаменитый тирский пурпур. Но, оказалось, что самое интересное в этоктонотоксине — его цианогруппа. Токсин вырабатывается комплексом ферментов, кодируемых генным опероном Aet [16]. За образование нитрильной группы отвечает фермент, кодируемый геном aetD. Синтезируется она из аланинового фрагмента аминокислоты 5,7-дибромтриптофана — одного из метаболических предшественников токсина. Азот нитрилу достается из аминогруппы в положении α, а углерод из метиленовой группы в положении β. Далее готовый 3-циано-5,7-диброминдол при помощи другого фермента образует ковалентную связь со второй «половиной» этоктонотоксина 2,3,5-триброминдолом, образующимся из общего предшественника обеих индольных «половин», 5-бромтриптофана. Сложный биосинтез, многостадийный и требующий слаженной работы как минимум шести ферментов, и кодирующих их генов! На первый взгляд, фермент AetD выполняет ту же самую работу, что и прекрасно изученные нитрилсинтазы, однако механизм катализируемой реакции оказался совсем иным. Как заявили авторы статьи, «этот фермент продемонстрировал новую парадигму образования нитрилов в биосинтезе». Получается, нет худа без добра. Даже страшная экологическая катастрофа (в которой, как обычно, не обошлось без антропогенного воздействия) послужила толчком к фундаментальному открытию, результаты которого нам еще сложно оценить.
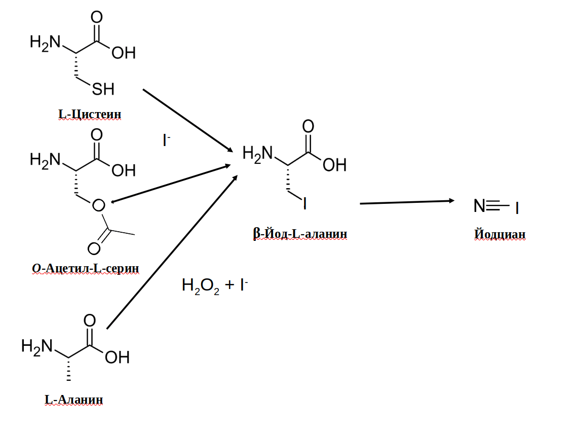
Вообще, активность этого фермента весьма интересна для хемоферментативного катализа. Возможно, он вызывает превращения не только 5,7-дибромтриптофана, но и других α-аминокислот, и позволяет синтезировать нитрилы общей формулы R-C≡N, где R боковой радикал аминокислоты. Скажем, из аланина при помощи этого фермента (или подобных ему, такого же класса) можно синтезировать синильную кислоту. Из α-аминомасляной кислоты, соответственно, ацетонитрил, из фенилаланина бензонитрил, из цистеина роданистоводородную кислоту, из серина — циановую кислоту, из β-йодаланина йодциан, и так далее. Возможно, водоросли Nitzschia pellucida, которые упоминались в статье [3], продуцируют бромциан таким путем — насколько мне известно, путь биосинтеза этого во всех смыслах поразительного метаболита до сих пор не установлен.
Рисунок 4. Замечательное качество биохимии. Бесконечное многообразие вторичных метаболитов синтезируется из немногих и известных со школьной скамьи первичных. Эта схема является неплохим тому подтверждением. Предполагаемые метаболические пути, ведущие к галоцианам.
иллюстрация автора
Хотя β-галоаланины до сих пор не обнаружены в природе, химикам они давно известны, обладают выраженной биологической (в первую очередь, антимикробной) активностью и легко синтезируются из природных серина и цистеина. Более того, известны штаммы бактерий, обладающие устойчивостью к D-3-хлораланину и при помощи специальных ферментов превращающих его в пируват и хлористый аммоний, либо в цистеин и хлорид-ион [17], [18]. Близкая по строению, очень экзотичная аминокислота β-хлордегидроаланин содержится в составе токсичного циклического пептида викторина, продуцируемого фитопатогенным грибом Cochliobolus victoriae. Установлено, что ее предшественником является аланин в составе исходного пептида, синтезированного рибосомой, хотя подробности модификации еще, по-видимому, неизвестны [19]. Вполне может быть, что промежуточным продуктом биосинтеза является β-хлораланин. В обзоре [20] постулируется возможность образования β-фтораланина из пирувата аммония и плавиковой кислоты как побочного продукта биосинтеза фторуксусной кислоты в растениях. То есть, β-галоаланины, эти ненатуральные (или просто не обнаруженные в природных источниках) аминокислоты легко преобразуются в важные биологические молекулы. Остается только найти их в природе…
И невозможное возможно
Рисунок 5. Природные галогенорганические вещества в целом являются редкостью. А природные галоамины — настоящее чудо биохимии. а — Водоросль из рода Laurencia. б — Уникальные метаболиты лауренсии, представляющие собой замещенные нафтилбромамины. в — структурная формула нитрида йода. г — структурная формула хлорамина.
ijarbs.com, по [21], рисунок автора, «Википедия»
О роли химии и химического производства в нашей жизни рассказывать не нужно. Все имеют об этом представление. Впрочем, при всей важности химии некоторые вещества, в силу специфики свойств, не находят практического применения. Или находят для решения очень узких задач — например, демонстрации зрелищных химических опытов. К таким веществам можно отнести бинарные тригалогениды азота. Формально они являются аналогами аммиака NН3, в котором водород замещен галогеном. Из аммиака их и получают. Но свойства этих веществ заметно отличаются от свойств аммиака.
Фторид азота NF3 представляет собой ядовитый и тяжелый бесцветный газ с запахом плесени. Является сильным окислителем, но сравнительно устойчив и применяется в качестве фторирующего агента в химии. Есть у трехфтористого азота еще одно характерное свойство. Это парниковый газ, причем в целых 17200 раз более активный, чем CO2. Более тяжелые аналоги неустойчивы и применения на практике не находят. Причем, чувствительность к детонации возрастает с ростом порядкового номера галогена. Нитрид хлора NCl3 представляет собой тяжелую маслянистую жидкость желтого цвета, детонирующую при ударе. Правильное название этого вещества именно нитрид хлора, а не хлорид азота, потому что азот обладает большей электроотрицательностью, чем хлор, и притягивает электроны. Нитрид брома NBr3 выглядит как красный кристаллический порошок, детонирующий даже от легкого прикосновения. Нитрид йода NI3 в виде комплексного соединения с аммиаком (аммиакат) представляет собой темно-красный до черноты порошок. Чтобы спровоцировать его взрыв, не всегда требуется даже прикосновение — достаточно направить на вещество поток альфа-частиц. Это соединение по праву считается самым чувствительным к детонации взрывчатым веществом из известных. Правда, влага делает его более стабильным — с увлажненным нитридом йода можно работать. У химиков бытует легенда, что взрывчатые свойства нитрида йода были открыты случайно, когда мимо склянки с веществом пролетал шмель, случайно залетевший в лабораторию, и спровоцировал взрыв колебаниями своих крыльев. Шмеля разнесло в клочья, но своей гибелью он спас от увечий выдающегося французского химика Бернара Куртуа, первооткрывателя химического элемента йода, который просто не успел подойти к злосчастной склянке.
Чистый нитрид йода, без включения аммиака в кристаллическую решетку, еще менее устойчив, и существует только при температурах ниже 0˚С.
Продуктами взрыва являются молекулярный азот и галоген:
2NI3 → N2 + 3I2
Поэтому, например, взрыв нитрида йода сопровождается образованием красивых клубов фиолетовых паров йода, и используется для создания зрелищных химических опытов. Собственно, этим применение данного вещества на сегодняшний день и ограничивается, хотя описаны реакции йодирования ароматических соединений с его помощью.
Конечно, в аммиаке азот трехвалентный, и можно заменить галогеном не все атомы водорода, а один или два. Тогда получатся чуть более стойкие соединения. Хлорамин NН2Cl, получаемый действием хлора на аммиак, представляет собой маслянистую жидкость. В чистом виде устойчив только при температурах ниже -40˚С. В виде растворов он некоторое время выдерживает комнатную температуру, однако в горячей воде быстро разлагается. Высокая реакционная способность и токсичность сделали хлорамин реагентом в органическом синтезе и известнейшим дезинфицирующим агентом.
Казалось бы, эти и подобные им соединения должны быть совершенно чужды живым организмам. Тем не менее, экстраординарные метаболиты, представляющие собой замещенные бромамины, содержащие связь N-Br, найдены в морских организмах — красных водорослях Laurencia similis и губках Rhaphisia pallida [21], [22]. Очевидно, что их свойства должны быть близки свойствам неорганических аналогов, хотя органические радикалы могут несколько стабилизировать структуры.
В статье [5] я уже упоминал галогенсодержащие метаболиты красных водорослей тригалоэтилены — трихлорэтилен и трибромэтилен. В растворах едких щелочей, например, гидроксида калия, они отщепляют галогеноводород и превращаются в соответсвтующие дигалоацетилены C2Cl2 и C2Br2 — очень любопытную группу веществ. Эти бесцветные жидкости крайне реакционноспособны, легко вступают в реакции присоединения, самовоспламеняются на воздухе, сгорая красивым цветным (в случае дибромацетилена ярко-красным) пламенем. Сами они очень токсичны, и не менее ядовиты продукты их горения, представляющие собой смесь углекислого газа и фосгенов — дигалоангидридов угольной кислоты. Все описанное выше довольно интересно, но ничего сенсационного пока не прозвучало. Химикам известны тысячи подобных соединенийПо-настоящему неожиданно то, что морские цианобактерии Lyngbya majuscula продуцируют смесь нейротоксинов ямайкамидов. Причем, ямайкамид А содержит две необычные для биологических молекул галогенированные группы — винилхлоридную, и бромацетиленовую. По аналогии с другими классами органических соединений, можно предполагать, что объемный органический заместитель стабилизирует группу -C≡C-Br. Но, в любом случае, она должна оставаться очень реакционноспособной. Биосинтез ямайкамидов описан в статье [23].
Рисунок 6. Кто сказал, что природа это рай и кладезь чистоты? Вот примеры очень жутких природных веществ. а — красная водоросль A. taxiformis — природный продуцент летучих галогенированных соединений, в том числе, сильных лакриматоров. б — структурная формула йодацетона. в — колония цианобактериL. majuscula. г — структурная формула ямайкамида А с указанием биосинтетических предшественников этой молекулы.
apexbtic.icgeb.res.in, рисунок автора, «Википедия», «Википедия» с изменениями
Красная водоросль Asparagopsis taxiformis продуцирует такие галогенированные метаболиты, как дийодфосген (карбонилйодид, дийодангидрид угольной кислоты) и йодацетон [24], [25]. О токсичности фосгенов говорить не надо, она общеизвестна. Йодацетон это лакриматор (слезоточивое вещество) такой силы, что одной капли достаточно, чтобы люди не могли находиться в комнате.
Поистине, изучая химию природных соединений, приходишь к выводу, что живые организмы вырабатывают вещества любых классов, даже самых экзотических. Просто не все из них еще открыты.
Нарушая догмы
После блистательного открытия двуспиральной структуры ДНК, в пятидесятые годы ХХ века, в англоязычном мире начали формироваться «догмы молекулярной биологии». Надо сказать, случай в науке Новейшего времени достаточно уникальный. К тому моменту научный мир ясно понял, что догматизм в системе знаний, полученных экспериментальным путем, явление скорее вредное, чем полезное. И всеми путями старался его избегать. В том числе и самого определения «догма». Тем более странно проявление научного догматизма в середине XX столетия, в странах, именующих себя Свободными Демократиями, когда атеизм и вера в авторитет доказуемого научного знания были в самом расцвете. Это потом череда политических и экономических кризисов поставила объективную науку под сомнение в глазах некоторых людей, и сделала догматизм для них более привлекательным.
Впоследствии автор «догм», гениальный Фрэнсис Крик оправдывался, мол, он в это определение вкладывал особый смысл. А все-таки, откуда растут ноги такого «отката назад» в научном мышлении? Не будем строги к ученым того времени. Вероятно, у них закружились головы от осознания того, как близко они подошли к пониманию самого загадочного явления в мире — Жизни. И в самом деле, живая клетка, живой организм как система после принятия «догм» стали восприниматься иначе. Открытия в молекулярной биологии того времени, действительно, были блистательными. В них строгость эксперимента сочеталась с тончайшей интуицией и поразительной смелостью ученых.
Впрочем, результаты новых исследований быстро поставили догмы под сомнения. Исключения стали расти, как грибы. Как и следовало ожидать, определение оказалось неудачным, и в нашем столетии практически не применяется — ну разве что в историческом контексте. Их авторы честно признали, что поторопились абсолютизировать открытые ими правила. Что отнюдь не умаляет их заслуги и сделанные открытия. Невозможно умалить и практическую значимость молекулярной биологии, ее вклад в медицину, пищевую индустрию и сельское хозяйство. Я полностью убежден, что и ее вклад в защиту окружающей среды станет не меньше. Только будет сделан позднее. Все-таки значимость защиты природы пока еще не настолько очевидна, как значимость создания вакцин. Эта проблема сейчас еще только назревает.
Пожалуй, последним «бастионом догматизма» было представление, что синтезируемые рибосомами в процессе трансляции матричных РНК пептиды состоят только из α-аминокислот, у которых кислая карбоксильная и основная аминогруппы соединены с одним и тем же атомом углерода, расположенным на конце углеродной цепочки — в α-положении. В самом деле, все протеиногенные аминокислоты являются α-аминокислотами [1]. Конечно, в составе пептидов порой встречается всякая неканоническая экзотика. Но в основном речь идет о нерибосомных пептидах, которые, как следует из названия, синтезируются из аминоацилкоэнзимов А без участия рибосом. Такой более простой биосинтез, считающийся более древним и возникшим еще явно до появления Луки, менее требователен к выбору субстратов. Поэтому нерибосомные пептиды (к которым относится и упомянутый выше викторин) более разнообразны, часто бывают замкнуты в кольцо, содержат D-изомеры аминокислот или вовсе непротеиногенные аминокислоты. Стоит ли говорить про колоссальное разнообразие типов их биологической активности. Среди нерибосомных пептидов немало антибиотиков.
Рисунок 7. Жизнь богаче и интереснее наших представлений о ней. Оказывается, рибосомы могут включать в состав белков β-аминокислоты. а — трансляция ДНК рибосомой. б — структурная формула β-гомо-п-бромфенилаланина.
Но вот что интересно. Антибиотик (правда, не пептидной природы, а относящийся к классу макролидов) эритромицин, продуцируемый Streptomyces erythreus, эффективно угнетает активность бактериальных рибосом, связываясь с 50S субъединицей. Она непосредственно участвует в конденсации аминокислот в белки, то есть, выполняет функцию фермента пептидилтрансферазы [26]. Разумеется, при длительном применении, как в случае с любым антибиотиком, к эритромицину развивается резистентность. Появляются мутации в генах, отвечающих за сборку рибосом, которые снижают эффективность связывания антибиотика. То есть, рибосомы могут продолжать синтезировать белки и в присутствии эритромицина. Но связанные с резистентностью мутации снижают эффективность работы рибосом. Например, весь ансамбль молекул в составе этой органеллы разваливается при пониженной концентрации ионов магния, тогда как рибосомы «дикого типа» ее выдерживают. А в интереснейшей статье [27] я прочитал, что мутантная пептидилтрансфераза в составе рибосом Escherichia coli, устойчивой к эритромицину, способна включать в состав пептидов замещенные β-фенилаланины (например, β-гомо-п-бромфенилаланин или L-β-амино, γ-п-бромфенилмасляную кислоту) вместо нормального фенилаланина (L-α-амино, β-фенилпропионовой кислоты)! Фенилаланиновая тРНК-синтетаза может «путать» природную аминокислоту и ее синтетический β-заменитель, присоединяя к транспортной РНК последний. То есть, мутации также снижают специфичность фермента (правильнее сказать, рибозима — в рибосомах белки играют вспомогательную роль, а ведущая досталась РНК — такое прекрасное наследие времен эпохи «мира РНК», когда живые организмы состояли преимущественно из рибонуклеиновых кислот). Это первый известный случай включения β-аминокислоты, у которой карбоксильная и аминогруппа находятся при соседних атомах углерода, в состав пептида при помощи рибосомы.
Этим объясняется известный факт, что в отсутствие антибиотиков резистентные к ним штаммы бактерий очень быстро утрачивают эту самую резистентность. Просто данный признак становится невыгодным и серьезно снижает конкурентоспособность с дикими штаммами, поэтому выбраковывается естественным отбором.
Все-таки, это реально
Идея превращения полезных ископаемых в пищевые продукты совсем не нова. Возникла она, пожалуй, сразу, как только было установлено тождество химического состава углей, сланцев и пищевого белка. С тех пор она с переменным успехом то громко заявляет о себе, то уходит в тень. Идея красивая: превращать углеводороды нефти в аминокислоты при помощи бактерий или дрожжей намного проще, чем выращивать урожай и вскармливать животных в классическом сельском хозяйстве. В наше время, в связи с сильнейшей хемофобией в обществе, идея стала непопулярной. К тому же, есть печальный опыт. Дрожжевой белок, полученный из нефти, оказался аллергенным, несет массу побочных эффектов. Ни люди, ни животные не приспособлены питаться дрожжами рода Candida. Наберет ли идея популярность в будущем? Сложно сказать. Лично я предпочту питаться едой из традиционных источников. С другой стороны, дешевая и, при этом, сбалансированная пища может решить проблему глобального голода, от которого в нашем нестабильном мире нельзя зарекаться. К тому же, белок из нефти или метана не обязательно непосредственно станет пищей человеку: им можно кормить сельскохозяйственных животных, например, птицу или рыбу.
Также, не следует забывать о том, что и сельское хозяйство существовало не всегда. Во времена неолита оно также было инновационным, и наверняка тоже вызывало споры, которые, правда, давно забыты. Вкусы людей во многом определяются их привычками и стереотипами.
Оговорюсь сразу: я не являюсь пропагандистом «еды из нефти». Но меня, как биохимика, очень увлекают процессы биосинтеза биологических молекул из абиогенных. Тем более, что эти процессы логически проистекают из интересующей меня биодеградации. То есть, мой интерес чисто теоретический. Но нельзя забывать о том, что ничего практичнее, чем хорошая теория, не существует.
В своей статье [6] я высказал предположение, что бензол может включаться в виде фенильного бокового радикала в состав аминокислоты фенилаланин при помощи неизвестного фермента фенилаланинбензоллиаза. Интересно, что группе крупного специалиста по ферменту тирозинфеноллиазе и осуществляемым им реакциям, доктора химических наук, профессора из Института молекулярной биологии имени В.А. Энгельгардта РАН Татьяны Викторовны Демидкиной это почти удалось на практике. Оказалось, что указанный фермент присоединяет фенол и бензол к фосфорорганическим аналогам аминокислот с образованием аналогов тирозина и фенилаланина, соответственно [28]. На мой взгляд, эта реакция феноменальна по целому ряду причин. Во-первых, задействует очень токсичное вещество, практически не встречающееся в живой природе. Хотя, в другой статье, [3] я уже указывал на то, что бензол является компонентом микодизеля, извлекаемого из южноамериканских грибков. Значит, все-таки встречается не только в составе нефти, но и в живом организме. Но это — исключение, фактически, подтверждающее правило. Во-вторых, бензол не только ядовит, но и очень стабилен. Заставить его с чем-то прореагировать непросто. Тем более удивительно то, что ферментативные реакции в большинстве своем протекают в физиологических условиях.
Однако, уже известны метаболические пути, сочетание которых реально позволяет включить бензол в состав фенилаланина. Давайте снова, не в первый раз уже вспомним схему метаболизма бензола. При помощи ферментов оксигеназ бензол окисляется до бензолоксида, который самопроизвольно изомеризуется в фенол. Далее протекает следующая стадия окисления, до пирокатехина, и раскрытие бензольного кольца с образованием транс-транс-муконовой кислоты. Дальнейший метаболизм представляет собой классический метаболизм карбоновой кислоты до ацетата. Собственно, представленная схема биодеградации ароматических соединений тоже давно стала классикой. Но… Есть одно «но». Такой путь катаболизма возможен только в аэробных условиях, в присутствии молекулярного кислорода. Поэтому, он характерен для аэробных организмов, вплоть до нас с вами. Получается, что в анаэробных условиях метаболизм бензола невозможен?
В годы моей учебы в университете, на рубеже тысячелетий, предполагалось, что не только бензол, а вообще углеводороды не усваиваются живыми организмами в бескислородных условиях. Потому, что только такой реакционноспособный окислитель, как кислород О2, способен «расшевелить» инертные, лишенные функциональных групп молекулы углеводородов. Много позже прозвучало сенсационное открытие, что некоторые особенно виртуозные анаэробы способны заменить кислород нитратом.
Еще позже выяснилось, что микробный метаболизм это вообще очень изощренная штука. В нем, как в большой политике, следует «никогда не говорить никогда». В анаэробных условиях у восстанавливающих железо бактерий Geobacter metallireducens и Aromatoleum aromaticum EbN1 наблюдается прямое ферментативное карбоксилирование бензола и фенола (в виде фенилфосфата) углекислым газом до бензойной и парабеновой кислот, соответственно [29], [30]. А бензойная кислота, в отличие от бензола, распространена в природе весьма широко. Особенно в составе растений. Она присутствует в лечебной бензойной смоле, добываемой из росного ладана. Высокое содержание бензойной кислоты в ягодах брусники, и это позволяет им долгое время не портиться. Бензойная и парабеновая (п-гидроксибензойная) кислоты обладают анимикробным действием и являются замечательными консервантами. Среди производных бензойной кислоты, пожалуй, наиболее известен алкалоид кокаин, добываемый из листьев южноамериканского растения кока.
Но карбоксилирование — не единственный способ анаэробной утилизации бензола. Очень интересен путь метилирования бензола при помощи S-аденозилметионина (про этот универсальный переносчик метильных групп я уже рассказывал в статьях [6], [10]. Этот путь, характерный для бактерии Thauera aromatica, тоже ведет к бензоату, но не имеет такого же изящества — здесь усвоение бензола занимает несколько стадий. Продуктом метилирования становится, понятное дело, метилбензол, более известный как толуол. Данное вещество сильно похоже на бензол по своим свойствам. Толуол тоже токсичен, является замечательным растворителем и также ассоциируется больше с химической промышленностью, чем с живой природой. Пары толуола оказывают на человека опьяняющее действие, что придало ему нездоровую известность в среде токсикоманов, и сделало печально знаменитым клей «Момент», в состав которого входил этот растворитель (правда, в 1999 году толуол был исключен из состава клея).
Конечно, следует особо подчеркнуть: в растениях бензойная кислота и толуол вырабатываются не из бензола. Здесь имеет место обратный синтез из аминокислоты фенилаланин. Но вещество, вырабатываемое растением и бактерией в любом случае одно и то же, с идентичными свойствами. Если в ходе эксперимента ввести в растение бензойную кислоту, полученную из бактерий или химическим синтезом, она точно также включится в состав характерных для данного вида метаболитов, как и эндогенная С6Н5СООН.
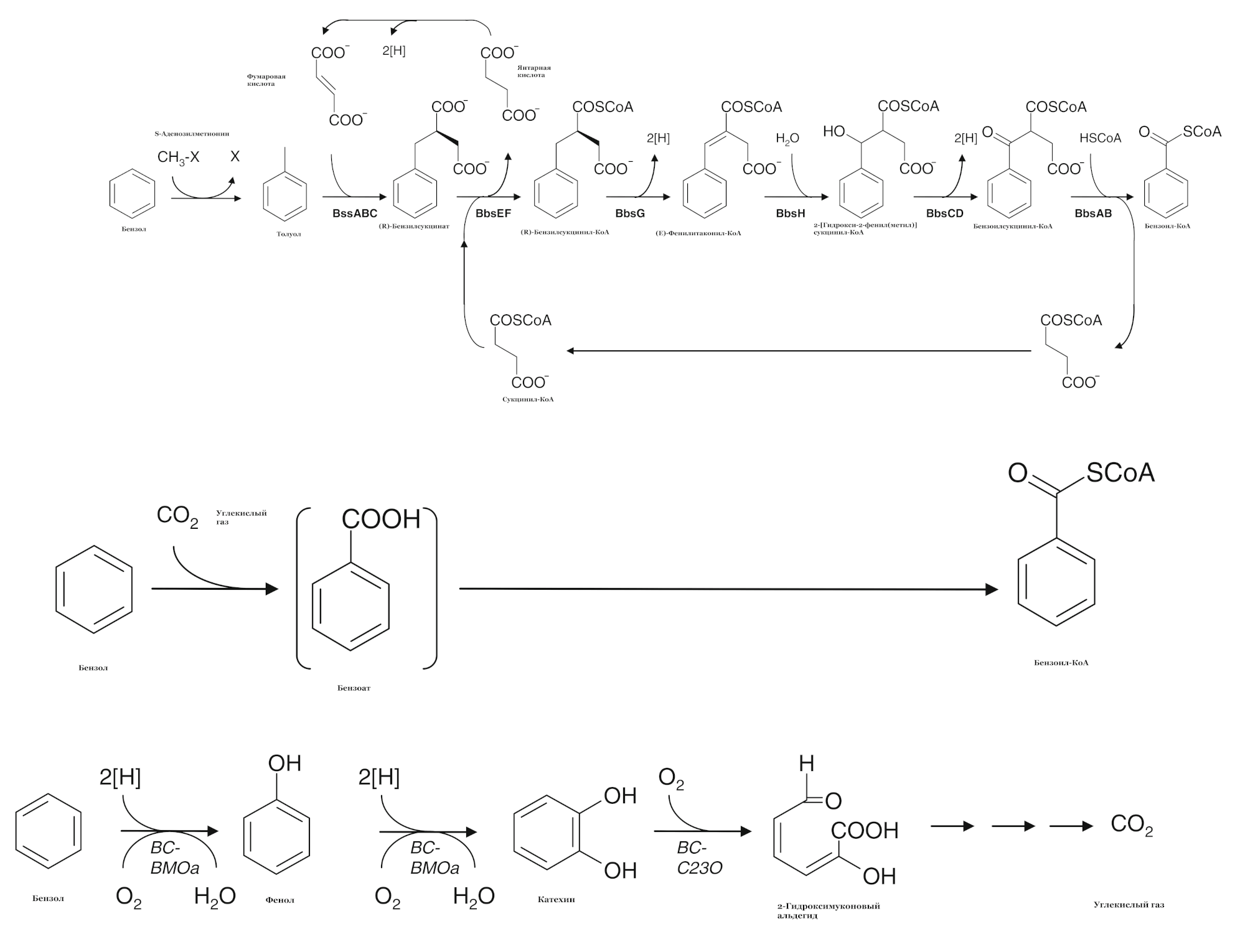
Хотя, в живых организмах он содержится чаще — само название вещества происходит от «толуанского бальзама». Так называют обеззараживающую смолу, выделяемую южноамериканским деревом Myroxylon balsamum. Из нее толуол был впервые выделен. Заметным отличием толуола от бензола является его более высокая химическая активность. Дело в том, что молекула бензола обладает совершенной симметрией, в ней все связи С-С и С-Н между собой равноценны, а метильная группа толуола эту симметрию нарушает. Это делает молекулу более реакционноспособной, что как раз и используется бактериями. В статье [9] я рассказывал про анаэробную детоксикацию циклогексана. Напомню, что бактерии присоединяют циклогексан к фумаровой кислоте с образованием циклогексилянтарной кислоты, из которой синтезируют ω-циклогексилкарбоновые кислоты. Так вот, с толуолом происходит то же самое. Его метильная группа вступает в реакцию присоединения с двойной связью фумаровой кислоты с образованием бензил-янтарной кислоты. Присоединение осуществляется бактериальной бензилсукцинатсинтазой. Далее она окисляется до бензоил-янтарной кислоты, которая подвергается ферментативному гидролизу до все той же бензойной и янтарной кислот [29], [30].
Возможен и другой путь утилизации бензил-янтарной кислоты. Он не наблюдался, но возможен по аналогии с утилизацией циклогексана. Согласно этому предполагаемому пути, эта кислота может включаться в состав ω-фенилкарбоновых кислот [31]. Надо сказать, что этот класс соединений встречается в природе. Фенилуксусная, фенилпировиноградная, миндальная (β-фенилмолочная) и коричная кислоты широко распространены в природе. При тяжелейшем наследственном заболевании фенилкетонурии, когда у человека отсутствует фермент, превращающий фенилаланин в тирозин, фенилпируват и фенилацетат в повышенных концентрациях выводятся с мочой, придавая ей неприятный «мышиный» запах. К этому же классу веществ относится троповая (α-фенил-β-гидроксипропионовая) кислота, остаток которой присутствует в молекулах алкалоидов атропина и гиасциамина. Высшие гомологи тоже встречаются, хотя и представляют собой экзотику. Так, североамериканская мускусная черепаха в случае опасности выделяет дурно пахнущий мускусный секрет, содержащий коктейль из фенилжирных кислот, вплоть до 7-фенилгептановой. Растение аронник Королькова (Arum korolkowii) из семейства ароидных содержат ω-фенилжирные кислоты вплоть до 23-фенилтрикозановой. Присутствуют они и в облепиховом масле.
Свободные жирные кислоты вообще отличаются крайне резким и неприятным запахом с мускусными нотками, ведь именно они придают специфический запах поту. Не зря гексановая, октановая и декановая кислоты получили тривиальные названия капроновая, каприловая и каприновая, соответственно. Они происходят от латинского caprus — «козел». Эти вещества имеют хорошо узнаваемый мускусный, «козлиный» запах и действительно входят в состав феромонов домашних коз (Capra hircus). Фенильная группа на конце углеводородного хвоста еще более усиливает аромат. Биосинтез этих зловонных, но, по-своему, очень интересных соединений происходит, в целом, так же, как у любых жирных кислот — путем последовательного присоединения ацетил-КоА. Только на конце молекулы ацетил-КоА заменен на бензоил-КоА или фенилацетил-КоА. Последние также могут включаться в состав специфических полигидроксиалканотов [32], а катаболическое расщепление их может приводить к транс-коричной и фенилпировиноградной кислотам — предшественникам фенилаланина [33]. В норме в живых клетках коричная кислота синтезируется из фенилаланина путем отщепления аммиака фенилаланинаммиаклиазой. Однако, реакция дезаминирования обратимая, и экспериментально показано, что фенилаланинаммиаклиаза в условиях избытка аммиака может аминировать коричную кислоту обратно до аминокислоты фенилаланин [34]. Таким сложным, кружным, но в принципе возможным путем можно включать бензол в состав фенилаланина. А из него бензольное кольцо может перейти в бесчисленное множество вторичных метаболитов, синтезируемых как из самого фенилаланина, так и из продукта его гидроксилирования тирозина.
Для полноты картины следует назвать третий путь анаэробной детоксикации бензола. Он полностью совпадает с аэробным, то есть, приводит к муконовой кислоте. Но кислород заменен другим сильным окислителем — нитратом или перхлоратом. Этот путь характерен для бактерий Alicycliphilus denitrificans [30].
Под занавес, нелишним будет добавить, что перечисленные пути анаэробного метаболизма углеводородов имеют большой выбор субстратов, и позволяют обезвреживать не только циклогексан или бензол, но и алканы с разной длиной цепи, в том числе и простейший углеводород — метан. По всей видимости, именно с анаэробной утилизации метана, широко распространенного в природе, и началось становление этих путей. По аналогии с толуолом, метан присоединяется к фумаровой кислоте и далее включается в концевые метильные группы жирных кислот, а также их производных — например, в боковой радикал аминокислоты аланин [35].
Рисунок 9. Органическая химия — это конструктор Лего. Одна дополнительная деталь — и перед нами новое вещество. Различные пути метаболизма ароматических соединений.
по [30], с изменениями
Ферменты для любых элементов
На сегодняшний день в Периодической таблице представлены 118 химических элементов, и их количество продолжает расти. Но из этого количества только менее трех десятков элементов избирательно накапливаются в живых организмах и поддерживают жизнедеятельность. Эти элементы носят название биогенных, и ферментные системы живых клеток миллиарды лет оттачивали способность катализировать реакции с соединениями именно таких атомов. Остальные элементы остаются для жизни своего рода «темной материей». Они существуют вокруг живого организма, их содержание в земной коре может даже превышать необходимые для жизни элементы. Более того, в следовых количествах они присутствуют в клетках и тканях, иногда постоянно. Они могут даже включаться в метаболические процессы, но их вмешательство, как правило, приводит к серьезным нарушениям метаболизма.
В научном мире дискутируется вопрос, не участвует ли это «небиогенное большинство» в жизнедеятельности? Ведь обнаружены «лидзимы» (свинцовые рибозимы) — молекулы РНК с ферментативной активностью, катализатором в которых служат ионы бария и свинца, образующие комплексное соединение с нуклеиновой кислотой [36]. Но выполняют ли лидзимы биологические функции? Или они представляют собой сугубо патологически измененные молекулы, посредством которых свинец и барий оказывают токсическое действие? Грань настолько тонка, что единственный научно достоверный ответ: лидзимы будут считаться только опасными токсикантами до тех пор, пока не будет доказано, что для какой-то формы жизни они являются нормальными метаболитами. До этого момента свинец не будет считаться биогенным элементом. Более того, даже если выяснится, что какая-нибудь архея гиперацидофил осуществляет нормальные метаболические процессы при помощи свинцовых ферментов, это не будет означать, что они являются нормой в человеческом организме. То есть, как в большинстве научных классификаций, четкой грани между биогенными и небиогенными элементами не существует. Есть масса переходных форм: например, ультрамикроэлементы, необходимые большинству форм жизни в крайне низких концентрациях. Или элементы, требующиеся только некоторым крайне специализированным видам.
Никого не удивляет, что современная биотехнология занята производством углеродистых, органических веществ самого разнообразного строения и назначения. Что касается неорганических веществ, например, керамических материалов, то мало кому приходит в голову, что к их созданию это направление тоже может быть причастно. Между тем, сфера технологии живых организмов постоянно расширяется. Поэтому она может и это.
Губки (Spongia) это чрезвычайно своеобразная и интересная группа эукариот. Во времена, когда я учил биологию в школе, их классифицировали как самые примитивные многоклеточные животные. Сейчас ученые более склонны видеть в них крупные и сложно организованныколонии жгутиконосцев, которые пришли к многоклеточному строению независимо от животных. Губки населяют пресные озера и морские глубины, практически бессмертны — некоторые ныне живущие могли бы вспомнить Ледниковый период и мамонтов, если бы обладали мозгом. Биохимия губок исключительно интересна — они настоящие кладези необычных метаболитов, о некоторых из которых уже рассказывал в предыдущих своих статьях.
Несмотря на сравнительную простоту анатомического строения и замечательную независимость отдельных клеток (которые, например, могут самостоятельно найти друг друга и снова соединиться в целый организм, если его буквально растереть в пыль — прямо как капли жидкого металла, из которого состоял легендарный Терминатор Т-1000), у губок есть многие атрибуты полноценного многоклеточного организма. У некоторых даже скелет. Правда, костей у губок нет. Их скелет представляет собой своеобразную плетеную корзину из спикул — характерных только для губок кристаллов кремнезема в форме длинных и тонких игл [37]. А формируются спикулы совершенно уникальными ферментами силикатеинами.
Силикатеины своим происхождением тесно связаны с сериновыми гидролазами — протеазами, липазами, эстеразами. Но эти ферменты уникальны, потому что в норме работают с неорганическими веществами. В природе они осуществляют поликонденсацию водорастворимой мономерной ортокремниевой кислоты до нерастворимого кремнезема, из которого состоит скелет губки, с отщеплением воды в качестве побочного продукта реакции [38]. То есть, реакцию, противоположную гидролизу. Впрочем, гидролиз это обратимая реакция, и многие гидролазы (например, липазы, про которые я рассказывал в статье [7]) способны в неводном растворителе катализировать конденсацию спиртов, аминов и кислот. Для силикатеинов поликонденсация стала нормальной реакцией, которую они осуществляют и в водной среде. Однако, подобно липазе, с которой силикатеин связан эволюционным родством, он имеет широкую субстратную специфичность. Можно сказать, широчайшую, потому что катализирует превращения не только соединений кремния, но и многих других химических элементов.
Разумеется, такие интересные ферменты стали объектом пристального внимания биотехнологов, которые, по обыкновению, начали экспериментировать с субстратами. Сначала выяснилось, что силикатеины полимеризуют до кремнезема синтетический отвердитель и растворитель тетраэтилортосиликат (тетраэтоксисилан), при этом выделяется этиловый спирт [39]. В некотором смысле, эту реакцию можно рассматривать как еще один пример биодеградации. Она очень необычна, но пока еще вполне вписывается в природную активность этих ферментов. Ведь тетраэтилортосиликат, как следует из названия, является эфиром ортокремниевой кислоты, которая служит естественным субстратом силикатеина. Позже было обнаружено, что силикатеины способны полимеризовать кремнийорганические диметилдиметоксисиланы, содержащие связи Si-C. Продуктом становятся полимерные силиконы [40].
Этот класс веществ не только давно известен, но и широко применяется. Правда, знаменитая Силиконовая Долина в США, на самом деле, Кремниевая. Кремний в виде кристаллического простого вещества применяется в качестве полупроводника в электронных цифровых устройствах, а в лихолетье девяностых годов мало кто в России заботился о качестве переводов с английского языка. Для широких масс людей слово «силикон» прочно ассоциируется с деятельностью пластических хирургов, которые вживляют силиконовые гели в различные части тела человека, добиваясь их внешнего увеличения. Впрочем, не всегда подобные операции являются излишеством, иногда они требуются по медицинским показаниям. Да и применение силиконов далеко не ограничивается хирургией. Например, химики в своей работе часто пользуются резиновыми шлангами для всевозможных насосов и теплообменников. Но всегда предпочитают прозрачные, как стекло и гибкие, как резина, силиконовые шланги — исключительно прочные, химически инертные, огнестойкие, не впитывающие растворители, выдерживающие высокие температуры, но… очень дорогие, что ограничивает их применение. Изделия из силикона часто применяют там, где надо гибкость в сочетании с износостойкостью сохранять при сильном нагреве.
Разумеется, подобные материалы совершенно не ассоциируются с биологией и ферментативным катализом. Кремнийорганические вещества в природе до сих пор не найдены. При этом, я почти не сомневаюсь в том, что в живой природе они встречаются, просто исключительно редко и до сих пор не попадались ученым. Однако, ферментативный синтез силиконовых полимеров уже стал реальностью, хотя на практике еще не применяется — традиционные чисто химические методы дешевле и эффективнее. Впрочем, дальнейшее развитие биотехнологии и совершенствование ее методов могут радикально изменить ситуацию в будущем. Конечно, органические силиконы уже сильно отличаются от естественного субстрата силикатеинов, кремниевой кислоты. Но при этом продолжают оставаться соединениями кремния, пространственная структура которых еще повторяет структуру неорганических силикатов. Поэтому, нет ничего сверхъестественного в том, что силикатеины, «заточенные на силикат», узнают эти искусственные субстраты и осуществляют их превращения. Но таланты силикатеинов, как выяснилось, этим не ограничиваются.
Рисунок 10. Возможности биотехнологии намного больше, чем было принято думать до недавнего времени. Живые организмы и их ферменты оказались способны «работать» с очень широким набором химических элементов. а — похожая на фруктгубка морской апельсин Tethya aurantia, ставшая одним из излюбленных объектов изучения спикулб — структурная формула полимерных силиконов (а точнее, полисилоксанов). в — многощетинковый червь — рекордсмен по содержанию мышьяка (и, вероятно, осмия) среди известных живых организмов. Желтую окраску его телу придают кристаллики сульфида мышьяка. г — кристаллы чистого осмия — самого дорогостоящего металла платиновой группы. Осмий это самое тяжелое вещество на Земле, его плотность почти втрое (!) превышает плотность железа! Тетраоксид осмия применяется в качестве окислителя и красителя в микроскопии, а осмиевый порошок был первым катализатором получения аммиака по Габеру. В наше время осмиевые катализаторы применяются в синтезе искусственного гормона кортизона. Высокая стоимость, сильный блеск и характерный очень красивый небесно-голубой цвет делают осмий привлекательным для ювелиров. Изготавливать из него украшения сложно — препятствуют высочайшие твердость и тугоплавкость этого металла. Но украшения из осмия практически невозможно подделать — других веществ с такой плотностью не существует.
Википедия, Live Science
Оказалось, что кремниевую кислоту можно заменить титановой и циркониевой, при этом вместо SiO2 будут образовываться частицы TiO2 и ZrO2, соответственно. А поскольку природный цирконий всегда содержит примесь гафния, соответственно, параллельно должен образовываться и оксид HfO2. Титан, цирконий и гафний исторически располагались в той же Четвертой группе Периодической таблицы, что и кремний. Только кремний вместе с углеродом располагался в главной подгруппе, а титан и его тяжелые аналоги — в побочной. В последнее время таблицу Менделеева стало принято изображать сильно растянутой в длину, без побочных подгрупп. Впрочем, как ее не изображай, на свойствах элементов это не отразится. Кремний, хоть и является аналогом углерода, по физическим и химическим свойствам значительно более похож на титан, чем на углерод. Здесь сказываются особенности свойств вообще всех восьми элементов Второго периода, в котором располагается углерод. Азот и кислород тоже очень мало напоминают фосфор и серу, химия фтора стоит особняком от других галогенов, а у бериллия немного общего с магнием. Квантовая механика объясняет такую «изоляцию» Второго периода отсутствием на внешней электронной оболочке атомов d-орбитали.
Вот поэтому фермент, для которого естественным субстратом является силикат, лучше распознает титанаты, чем карбонаты. Более того, губки способны включатв состав своих спикул ортотитановую кислоту вместо ортокремниевой и формировать в своем скелете двуокись титана в виде минерала анатаза [41]! То есть, титан, традиционно представляемый как типичный небиогенный элемент, не играющий никакой роли в живой природе, оказывается вполне себе биогенным. Ведь следовые концентрации ортотитанатов должны присутствовать в природных водах. Соответственно, губки включают титан в состав своих скелетов не только в научных экспериментах, раз в принципе способны на это. Теперь мы действительно убедились в широте субстратной специфичности силикатеинов. Тем не менее, титанаты и цирконаты тоже имеют структурное сходство с силикатами. Поэтому, вполне могут замещать их в активном центре фермента.
Интересно, что силикатеины могут производить поликонденсацию соединений элементов, расположенных в других группах таблицы Менделеева, и не имеющих с силикатами большого структурного сходства. Нитрат галлия превращается в нерастворимый оксигидроксид, и далее, в обладающий свойствами полупроводника оксид галлия γ-Ga2O3; подобные реакции осаждения из водных растворов могут происходить и с солями ряда других металлов, например, алюминия и железа. Тетрахлораурат восстанавлиается силикатеином до анизотропных кристаллов тонкодисперсного металлического золота; гексафтортитанат бария гидролизуется до нанокристаллического минерала состава BaTiO2F4, сходного по структуре с перовскитом [37]. Очень интересна работа [42], в которой при помощи силикатеина морской губки Tethya aurantia из растворимого комплекса бис-лактат аммония — дигидроксид титана IV получен слоистый аморфный фосфат титана. Без помощи фермента такой продукт можно получить только спеканием двуокиси титана и 85% фосфорной кислоты при температурах свыше 800 ˚С. Фермент же производит реакцию в физиологических условиях. Подобные работы доказывают перспективы применения биотехнологии для получения искусственных материалов, в том числе неорганических.
Любопытно, что силикатеины, ко всему прочему, способны полимеризовать органические вещества. Можно говорить о том, что эти ферменты сохранили «память предков» с тех времен, когда они были обыкновенными гидролазами. Например, димер молочной кислоты L-лактид этим же ферментом полимеризуется до полимера полилактида, из которого изготовляют ставшие популярными биоразлагаемые пластмассы [38].
А вот ортогерманиевая кислота оказалась для силикатеинов конкурентным ингибитором. Германий известен как один из лучших полупроводниковых материалов и широко используется в электронике. Он является тяжелым аналогом кремния в главной подгруппе IV группы Периодической таблицы, и стал одним из элементов, чьи свойства, на основании открытого им Периодического закона, очень точно предсказал сам великий Дмитрий Иванович Менделеев еще до обнаружения. Соответственно, характеристики обоих элементов очень похожи, но в чем-то заметно различаются. Вот эти нюансы и позволяют германиевой кислоте внедряться в активный центр силикатеина и ингибировать его. В присутствии германатов спикулы губок перестают расти и остаются укороченными. Соответственно, для организмов, накапливающих силикаты, соединения германия являются сильными ядами, специфичными только для них [43].
Таким образом, субстратами силикатеина являются соединения широчайшего набора химических элементов, от углерода до золота. Причем, интерес к этому классу ферментов возник сравнительно недавно, и спектр субстратов вряд ли охарактеризован полностью. То есть, может оказаться, что силикатеины могут взаимодействовать со значительно большим количеством элементов и веществ, чем мы знаем. Поэтому, силикатеины полушутя- полусерьезно были названы «ферментами для всех элементов».
As и Os
Хотел уже завершить статью, когда на замечательном сайте «Элементы» встретил информацию в тему. Многощетинковые кольчатые черви Paralvinella hessleri обитают в гидротермальных источниках Окинавского желоба в Тихом океане. Здесь из недр Земли бьют ключи разогретой до критической точки воды, обогащенной мышьяком и сероводородом. Одним словом, условия для жизни трудно назвать благоприятными. И выжить в них могут только существа, развившие в процессе эволюции поистине уникальные способности. Паральвинелла не исключение. Стратегией защиты от интоксикации у этого червя является известный еще врачам глубокой древности принцип нейтрализации одного яда другим. Все-таки неспроста в источниках мышьяк сопутствует сере. Эти элементы имеют высокое сродство друг к другу, легко вступают между собой в реакцию и образуют ряд устойчивых, нерастворимых в воде (а потому и нетоксичных!) сульфидов мышьяка. Собственно, мышьяк в природе чаще всего встречается именно в виде ярко окрашенных сульфидных минералов — оранжевого реальгара или желтого, как лимон, аурипигмента и гораздо реже в виде арсенатов или самородков простого вещества. Здесь проявляется принципиальная разница свойств мышьяка и его ближайшего аналога фосфора. Фосфор встречается на Земле почти исключительно в виде фосфатов, а его сульфиды — токсичные и реакционноспособные соединения. На способности мышьяка формировать устойчивые сульфиды основан метод его медицинского выведения из организма в случае отравлений при помощи препаратов водорастворимых 1,2-дитиолов — например, унитиола или димеркапрола.
Но вернемся к нашим червям. Паральвинелла выделяется ярко-желтой окраской тела, которая в кромешной тьме глубоководного желоба ей совершенно не пригождается. Впрочем, и не мешает. А пигмент совершенно необычный — это минерал аурипигмент состава As2S3. Паральвинелла среди всех известных живых организмов бьет рекорд содержания мышьяка. На него приходится сотая часть от веса тела! Желтые кристаллы присутствуют буквально в каждой клетке беспозвоночного, в особых вакуолях. При помощи целого набора современных методов авторы статьи [44] доказали, что кристаллизация минерала с говорящим названием, означающим «золотая краска», в тканях полихеты происходит не спонтанно, а под тонким контролем клеточных мембран, пронизанных совершенно уникальными белками. Среди них, например, присутствуют переносчики мышьяка. Очевидно, что червь прошел долгий эволюционный путь адаптации к своей среде обитания, и научился существовать в присутствии запредельно высоких концентраций сероводорода и мышьяка. Напомню, что оба вещества являются сильными ядами, но их взаимодействие приводит к нетоксичному продукту (как говорили в старые времена, «шлаку»), который накапливается в теле существа.
Казалось бы, после такого, чем паральвинелла может еще удивить? Но удивительное еще не заканчивается! Ведь помимо сульфида мышьяка червь накапливает еще и осмий! Самое плотное вещество из доступных, его плотность приближается к 23 граммам на кубический сантиметр. Полулитровая бутылка, заполненная порошком осмия, весит больше, чем ведро с десятью литрами воды! Некоторые трансурановые элементы, предположительно, еще значительно тяжелее, не говоря про космические объекты, например, нейтронные звезды, но, в отличие от осмия, их никто не наблюдал вблизи. Осмий — это самый дорогой и редкий благородный металл. Его мировая добыча осмия составляет всего 120 кг в год (одна пятилитровабутылка с порошком металла), а цена превышает цену на золото почти в 8 раз. Самое знаменитое соединение осмия — его тетраоксид, одно из немногих веществ, в которых атом имеет степень окисления +8. Это делает OsO4 сильным окислителем и очень токсичным веществом. Именно тетраоксиду осмий обязан названием: пары этого летучего вещества имеют исключительно сильный, раздражающий неприятный запах, похожий на запах озона или хлора.
Осмий тоже имеет высокое сродство к мышьяку и сере, поэтому неудивительно, что он накапливается в организме червя вместе с ними. Известен природный минерал осарсит состава (Os, Ru)AsS, помимо осмия и рутения содержащий примеси других благородных металлов — иридия, родия, палладия и платины. К большому сожалению, авторы публикации подробно остановились на аккумуляции аурипигмента, но только вскользь упомянули осмий. Но можно сказать однозначно — паральвинелла это не только чудо биохимии. Она наверняка играет важную геохимическую роль в минерализации мышьяка и осмия. А в природе однозначно существуют другие ферменты «для любых элементов», помимо силикатеинов.
Ну вот, снова получился «лонг-лонгрид». Хотя, каждый раз, берясь за новую статью, планирую, что она будет короче предыдущих. Но всегда возникает потребность сказать больше. За год между конкурсами «Био/Мол/Текст» накапливается новый материал, которым следует поделиться с читателем. И который, по большей части, популяризаторами науки еще не освещен. Остается надеяться на то, что он действительно будет интересным.
Возможно, разные главы этой статьи кому-то покажутся несвязанными между собой. На самом деле, связь есть. Это связь биохимии с другими научными дисциплинами, и в первую очередь, с самой жизнью во всем ее многообразии. Статья показывает, какое количество разноплановых задач способна решить биохимия, и какие из них Природа уже по-своему решила — надо только проявить наблюдательность и заметить это. Более того, сейчас создается инструментарий для решения задач отдаленного будущего, которые мы еще смутно представляем. Речь идет, в первую очередь, о синтетической биологии. Конечно, грустно, что в современном мире новые технологии продолжают находить военное применение. Для биодеградации, призванной освобождать планету от токсичных отходов, оно тоже прогнозируется. Но, это, увы, удел любой созданной человечеством технологии.
Однозначно, потенциал биохимии и теснейшим образом связанной с ней биотехнологии далеко не исчерпан, и в грядущем охватит новые отрасли. Мощное наступление этих дисциплин у кого-то вызывает безотчетный страх — отсюда мифотворчество про Синтию, ГМО и другие небылицы. Людей во все времена страшило новое. Но история учит тому, что этот страх всегда рано или поздно преодолевается. Новое становится привычным, и страхи предыдущих поколений вызывают только снисходительную улыбку. Уверен, все повторится и на современном витке развития.
Литература
- Роль слабых взаимодействий в биополимерах;
- Биодеградация белого фосфора: как яд стал удобрением;
- Биодеградация ксенобиотиков как самозащита природы;
- Являются ли ксенобиотики ксенобиотиками? Одна из сторон разнообразия природных соединений;
- Раздумья о природной и неприродной химии;
- Биодеградация: что в ней удивительного?;
- От биодеградации к сюрпризам биохимии;
- Многоликая биодеградация;
- Биодеградация на переднем крае науки;
- Метаболизм: великий разрушитель и созидатель;
- D. G. Gibson, J. I. Glass, C. Lartigue, V. N. Noskov, R.-Y. Chuang, et. al. (2010). Creation of a Bacterial Cell Controlled by a Chemically Synthesized Genome. Science. 329, 52–56;
- Педлер К., Дэвис Дж. Мутант-59. Научно-фантастический роман // Наука и жизнь. 1975. №3. с. 130–144;
- Платэ Н.А. Роман об ответственности ученых // Наука и жизнь. 1975. №3. с. 145;
- Каторин Ю.Ф., Волковский Н.Л., Тарнавский В.В. Уникальная и парадоксальная военная техника. СПб: Полигон, 2003. — 686 с.;
- Rieke Himstedt, Silke Wagner, Robert J. R. Jaeger, Michèle‐Laure Lieunang Watat, Jana Backenköhler, et. al. (2020). Formaldehyde as a Chemical Defence Agent of Fruiting Bodies of Mycena rosea and its Role in the Generation of the Alkaloid Mycenarubin C. ChemBioChem. 21, 1613–1620;
- Sanjoy Adak, April L. Lukowski, Rebecca J. B. Schäfer, Bradley S. Moore. (2022). From Tryptophan to Toxin: Nature’s Convergent Biosynthetic Strategy to Aetokthonotoxin. J. Am. Chem. Soc. 144, 2861–2866;
- Toru Nagasawa, Takafumi Ishii, Hideaki Yamada. (1988). Physiological comparison of d-cysteine desulfhydrase of Escherichia coli with 3-chloro-d-alanine dehydrochlorinase of Pseudomonas putida CR 1-1. Arch. Microbiol. 149, 413–416;
- Toru Nagasawa, Hideaki Yamada. (1987). O-Acetylserine sulfhydrylase from Bacillus sphaericus. Methods in Enzymology. 474–478;
- Simon C. Kessler, Xianghui Zhang, Megan C. McDonald, Cameron L. M. Gilchrist, Zeran Lin, et. al. (2020). Victorin, the host-selective cyclic peptide toxin from the oat pathogen Cochliobolus victoriae , is ribosomally encoded. Proc. Natl. Acad. Sci. U.S.A. 117, 24243–24250;
- David B. Harper, David O’Hagan, Cormac D. Murphy. (2003). Fluorinated Natural Products: Occurrence and Biosynthesis. The Handbook of Environmental Chemistry. 141–169;
- Jianchun Qin, Hua Su, Yamei Zhang, Jinming Gao, Lin Zhu, et. al. (2010). Highly brominated metabolites from marine red alga Laurencia similis inhibit protein tyrosine phosphatase 1B. Bioorganic & Medicinal Chemistry Letters. 20, 7152–7154;
- Cen Y.Z., Su J.Y., Zeng L.M. (1997). Studies on the Chemical Compositions of the Marine Sponge Rhaphisia pallida(I)──The Structural Elucidation of Two Novel Ten-membered Heterocyclic Compounds. Chem. Res. Chin. Univ. 18, 1057–1060;
- Daniel J Edwards, Brian L Marquez, Lisa M Nogle, Kerry McPhail, Douglas E Goeger, et. al. (2004). Structure and Biosynthesis of the Jamaicamides, New Mixed Polyketide-Peptide Neurotoxins from the Marine Cyanobacterium Lyngbya majuscula. Chemistry & Biology. 11, 817–833;
- Valery M Dembitsky. (2006). Biogenic Iodine and Iodine-Containing Metabolites. Natural Product Communications. 1;
- Lishu Wang, Xuefeng Zhou, Mangaladoss Fredimoses, Shengrong Liao, Yonghong Liu. (2014). Naturally occurring organoiodines. RSC Adv. 4, 57350–57376;
- Eun Chae Moon, Tushar Modi, Dong-yeon D. Lee, Danis Yangaliev, Jordi Garcia-Ojalvo, et. al. (2024). Physiological cost of antibiotic resistance: Insights from a ribosome variant in bacteria. Sci. Adv. 10;
- Clarissa Melo Czekster, Wesley E. Robertson, Allison S. Walker, Dieter Söll, Alanna Schepartz. (2016). In Vivo Biosynthesis of a β-Amino Acid-Containing Protein. J. Am. Chem. Soc. 138, 5194–5197;
- Nikolai G. Faleev, Yurii N. Zhukov, Elena N. Khurs, Olga I. Gogoleva, Maria V. Barbolina, et. al. (2000). Interaction of tyrosine phenol‐lyase with phosphoroorganic analogues of substrate amino acids. European Journal of Biochemistry. 267, 6897–6902;
- Nidal Abu Laban, Draženka Selesi, Thomas Rattei, Patrick Tischler, Rainer U. Meckenstock. (2010). Identification of enzymes involved in anaerobic benzene degradation by a strictly anaerobic iron‐reducing enrichment culture. Environmental Microbiology. 12, 2783–2796;
- Sander A. B. Weelink, Miriam H. A. van Eekert, Alfons J. M. Stams. (2010). Degradation of BTEX by anaerobic bacteria: physiology and application. Rev Environ Sci Biotechnol. 9, 359–385;
- Stuart Smith, Alan Stern. (1983). The effect of aromatic CoA esters on fatty acid synthetase: Biosynthesis of ω-phenyl fatty acids. Archives of Biochemistry and Biophysics. 222, 259–265;
- Shoji Mizuno, Ayaka Hiroe, Toshiaki Fukui, Hideki Abe, Takeharu Tsuge. (2017). Fractionation and thermal characteristics of biosynthesized polyhydoxyalkanoates bearing aromatic groups as side chains. Polym J. 49, 557–565;
- Michael N. Clifford, Laurence J. King, Asimina Kerimi, Maria Gema Pereira-Caro, Gary Williamson. (2024). Metabolism of phenolics in coffee and plant-based foods by canonical pathways: an assessment of the role of fatty acid β-oxidation to generate biologically-active and -inactive intermediates. Critical Reviews in Food Science and Nutrition. 64, 3326–3383;
- Sebastian Bartsch, Uwe T. Bornscheuer. (2010). Mutational analysis of phenylalanine ammonia lyase to improve reactions rates for various substrates. Protein Engineering, Design and Selection. 23, 929–933;
- Rudolf K. Thauer, Seigo Shima. (2008). Methane as Fuel for Anaerobic Microorganisms. Annals of the New York Academy of Sciences. 1125, 158–170;
- Eric Westhof, Thomas Hermann. (1999). Leadzyme RNA catalysis. Nat. Struct Biol. 6, 208–209;
- Vanessa Schoeppler, Elke Reich, Jean Vacelet, Martin Rosenthal, Alexandra Pacureanu, et. al. (2017). Shaping highly regular glass architectures: A lesson from nature. Sci. Adv. 3;
- Daniel Otzen. (2012). The Role of Proteins in Biosilicification. Scientifica. 2012, 1–22;
- Natalia V. Povarova, Nikolay A. Barinov, Mikhail S. Baranov, Nadezhda M. Markina, Anna M. Varizhuk, et. al. (2018). Efficient silica synthesis from tetra(glycerol)orthosilicate with cathepsin- and silicatein-like proteins. Sci Rep. 8;
- Stephan E. Wolf, Ute Schlossmacher, Anna Pietuch, Bernd Mathiasch, Heinz-C. Schröder, et. al. (2010). Formation of silicones mediated by the sponge enzyme silicatein-α. Dalton Trans. 39, 9245;
- Jan L. Sumerel, Wenjun Yang, David Kisailus, James C. Weaver, Joon Hwan Choi, Daniel E. Morse. (2003). Biocatalytically Templated Synthesis of Titanium Dioxide. Chem. Mater. 15, 4804–4809;
- Paul Curnow, Paul H. Bessette, David Kisailus, Meredith M. Murr, Patrick S. Daugherty, Daniel E. Morse. (2005). Enzymatic Synthesis of Layered Titanium Phosphates at Low Temperature and Neutral pH by Cell-Surface Display of Silicatein-α. J. Am. Chem. Soc. 127, 15749–15755;
- Tracy L. Simpson, Maryvonne Gil, Robert Connes, Jean‐Pierre Diaz, Jean Paris. (1985). Effects of Germanium (Ge) on the silica spicules of the marine sponge Suberites domuncula: Transformation of spicule type. Journal of Morphology. 183, 117–128;
- Hao Wang, Lei Cao, Huan Zhang, Zhaoshan Zhong, Li Zhou, et. al. (2025). A deep-sea hydrothermal vent worm detoxifies arsenic and sulfur by intracellular biomineralization of orpiment (As2S3). PLoS Biol. 23, e3003291.
Комментарии
Раньше здесь был блок с комментариями. Но потом сервис Disqus, на котором они работали и за который мы платили, перестал открываться из РФ.
Когда появится возможность, мы вернём комментарии уже на внутреннем движке, а чтобы это произошло быстрее —
Оставьте донат 💚